When discussing metal thickness, the term "gauge" is often used to describe the thickness of metal sheets and sheets. The gauge system is a measurement of the thickness of the metal, with lower numbers indicating thicker metal. One common gauge used in various industries is the 16 gauge metal thickness. This gauge refers to a specific thickness of metal, which is a crucial factor in determining the metal's strength, durability, and suitability for different applications.
The 16 gauge is a relatively thick metal thickness, offering several advantages. It provides excellent structural integrity and is commonly used in applications where strength and durability are essential. This gauge is often utilized in the manufacturing of various products, including metal containers, automotive parts, and construction materials. The thickness of 16 gauge metal ensures that these products can withstand the demands of their intended uses.
One of the key benefits of using 16 gauge metal thickness is its ability to provide a balanced combination of strength and weight reduction. This makes it an ideal choice for applications where structural integrity is required without adding excessive weight. The 16 gauge metal thickness is a versatile option, catering to a wide range of industrial and manufacturing needs.
16 Gauge (0.06") Carbon Steel Sheet A606/A588A Weathering Steel
Stacked metal plates with 16 gauge thickness, each one slightly offset, creating a 3D effect. The image suggests a sense of depth and could be used in a design or engineering presentation.
WENHUALI 2 Pcs 16 Gauge Steel Sheets Metal Cold Rolled Steel Plate, 12" X 8" Weldable Metal Sheet For DIY Craft Projects, Industrial, Professional
A hand holding a 16-gauge metal sheet, its surface textured and slightly oxidized, providing a tactile feel. The image evokes a sense of craftsmanship and could be used in a product brochure.
Steel sheet metal gauge chart - MS/ carbon steel thicknesses
A metal sheet with 16 gauge thickness, bent into a sharp, angular shape, creating a modern, industrial aesthetic. The image could be used in architectural or design visualization.
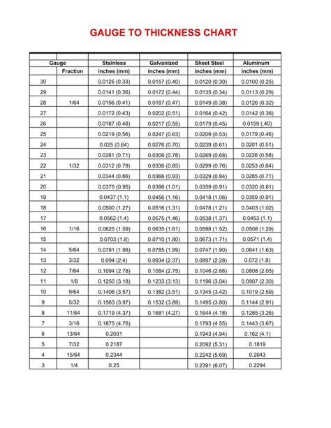
Sheet Metal Gauge Chart Stainless Steel at Henry Thomas blog
A collection of 16-gauge metal sheets arranged in a grid pattern, each one slightly different in color, creating a vibrant, textured backdrop. The image could be used in a product photography or interior design context.
How Thick is 16 Gauge Steel? Understanding Metal Gauge Thickness - MFG Shop
A close-up of a 16-gauge metal sheet, its surface etched with intricate patterns, providing a sense of texture and depth. The image could be used in a fashion or art context.
Understanding 16 Gauge Steel Thickness
A metal sheet with 16 gauge thickness, cut into a series of triangles, creating a geometric pattern. The image suggests a sense of modern design and could be used in a graphic or fashion context.
16 gauge Galvanized steel Definition, Application, Thickness
A 16-gauge metal sheet, its surface polished to a high shine, reflecting the surrounding environment. The image conveys a sense of luxury and could be used in a product or interior design context.
The Thickness of 16 Gauge Metal in Different Materials
Stacked metal plates with 16 gauge thickness, each one slightly rusted, providing a sense of age and texture. The image could be used in a historical or industrial context.
Sheet Metal Thickness Standards & Gauge Charts | Xometry Pro
A metal sheet with 16 gauge thickness, its surface textured and slightly oxidized, providing a tactile feel. The image evokes a sense of craftsmanship and could be used in a product brochure.
Stainless Steel 16 Gauge Thickness | The Tube
A 16-gauge metal sheet, its surface etched with a fine pattern, creating a delicate, intricate design. The image could be used in a fashion or art context.
Standard Sheet Metal Gauge Thickness Chart
A collection of 16-gauge metal sheets, each one bent into a different shape, creating a 3D effect. The image suggests a sense of creativity and could be used in a design or art presentation.
Stainless Steel Gauge Thickness Chart | 12ga 14ga 16ga 18ga
A metal sheet with 16 gauge thickness, its surface polished to a high shine, reflecting the surrounding environment. The image conveys a sense of luxury and could be used in a product or interior design context.
Stainless Steel Sheet Thickness Gauge at Albertha Janes blog
A close-up of a 16-gauge metal sheet, its surface textured and slightly oxidized, providing a tactile feel. The image evokes a sense of craftsmanship and could be used in a product brochure.
Standard Sheet Metal Gauge Thickness Chart
A 16-gauge metal sheet, its surface etched with a fine pattern, creating a delicate, intricate design. The image could be used in a fashion or art context.
Printable Metal Thickness Gauge
A metal sheet with 16 gauge thickness, cut into a series of triangles, creating a geometric pattern. The image suggests a sense of modern design and could be used in a graphic or fashion context.
Sheet Metal Thickness Chart Sst
A collection of 16-gauge metal sheets, each one bent into a different shape, creating a 3D effect. The image suggests a sense of creativity and could be used in a design or art presentation.
Steel Gauge Thickness Conversion Chart at Joann Meyer blog
A 16-gauge metal sheet, its surface polished to a high shine, reflecting the surrounding environment. The image conveys a sense of luxury and could be used in a product or interior design context.
Steel Gauge Thickness Chart The Why And How Ryerson
A close-up of a 16-gauge metal sheet, its surface textured and slightly oxidized, providing a tactile feel. The image evokes a sense of craftsmanship and could be used in a product brochure.
Gauge Steel Thickness | Sheet Metal Gauge Chart | IBC Group
A metal sheet with 16 gauge thickness, its surface etched with a fine pattern, creating a delicate, intricate design. The image could be used in a fashion or art context.
Printable Metal Thickness Gauge
A 16-gauge metal sheet, its surface polished to a high shine, reflecting the surrounding environment. The image conveys a sense of luxury and could be used in a product or interior design context.
Steel Gauge Thickness Chart The Why And How Ryerson, 51% OFF
A collection of 16-gauge metal sheets, each one bent into a different shape, creating a 3D effect. The image suggests a sense of creativity and could be used in a design or art presentation.
Printable Sheet Metal Gauge Chart
A metal sheet with 16 gauge thickness, its surface textured and slightly oxidized, providing a tactile feel. The image evokes a sense of craftsmanship and could be used in a product brochure.
Sheet Metal Gauge Thickness Chart Inches
A 16-gauge metal sheet, its surface etched with a fine pattern, creating a delicate, intricate design. The image could be used in a fashion or art context.
Understanding 16 Gauge Steel Thickness
A close-up of a 16-gauge metal sheet, its surface polished to a high shine, reflecting the surrounding environment. The image conveys a sense of luxury and could be used in a product or interior design context.
Understanding Steel Gauge: A Guide to Thickness Standardization ...
A metal sheet with 16 gauge thickness, cut into a series of triangles, creating a geometric pattern. The image suggests a sense of modern design and could be used in a graphic or fashion context.
Image
A collection of 16-gauge metal sheets, each one bent into a different shape, creating a 3D effect. The image suggests a sense of creativity and could be used in a design or art presentation.
Stainless Steel Sheet Gauge Thickness Chart at Fred Moses blog
A 16-gauge metal sheet, its surface textured and slightly oxidized, providing a tactile feel. The image evokes a sense of craftsmanship and could be used in a product brochure.
Steel Thickness Conversion Table (Gauge - Inch - MM) | Welding and ...
A metal sheet with 16 gauge thickness, its surface etched with a fine pattern, creating a delicate, intricate design. The image could be used in a fashion or art context.
Aluminum Sheet Metal Gauge Chart - Educational Chart Resources
A close-up of a 16-gauge metal sheet, its surface polished to a high shine, reflecting the surrounding environment. The image conveys a sense of luxury and could be used in a product or interior design context.
Image
A detailed look at 16 gauge metal thickness
.
Sheet Metal Gauge Chart, SWG To MM And Inches Conversion
A detailed look at 16 gauge metal thickness
.
Buying Better: The Definitive Cold Rolled Steel Gauge Chart - Majestic ...
A detailed look at 16 gauge metal thickness
.
Sheet Metal Gauge Chart - T/J Fabricators - Sheet Metal Gauges
A detailed look at 16 gauge metal thickness
.
Image
A detailed look at 16 gauge metal thickness
.
Understanding Sheet Metal Types, Gauges and Thicknesses
A detailed look at 16 gauge metal thickness
.
Sheet Metal 16 Gauge Thickness
A detailed look at 16 gauge metal thickness
.
Weight Of 16 Ga Galvanized Steel
A detailed look at 16 gauge metal thickness
.
Handbook: The Complete Guide To Steel Gauge Chart
A detailed look at 16 gauge metal thickness
.
Printable Sheet Metal Gauge Chart
A detailed look at 16 gauge metal thickness
.
What Is The Difference Between Gauge And Thickness - Tracking
A detailed look at 16 gauge metal thickness
.
Sheet Metal Gauge Thickness Chart Pdf In Mm
A detailed look at 16 gauge metal thickness
.
16 Gauge Vs 18 Gauge Steel: Which Is Right For Your Project?
A detailed look at 16 gauge metal thickness
.
Sheet Metal Gauge Thickness Chart Inches
A detailed look at 16 gauge metal thickness
.
Understanding Steel Gauge: A Guide to Thickness Standardization ...
A detailed look at 16 gauge metal thickness
.