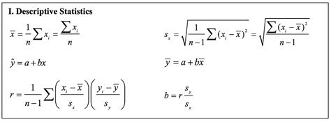
Welcome to the ultimate guide on the AP Stats Equation Sheet! This comprehensive resource is designed to assist students in their preparation for the Advanced Placement Statistics exam. It provides a handy reference for various statistical equations and concepts, ensuring you have the tools to tackle any challenge the exam may present.
The AP Stats Equation Sheet is an invaluable asset for students aiming to excel in statistics. It covers a wide range of topics, including probability distributions, hypothesis testing, and regression analysis. By having these equations readily available, you can quickly refer to them during your studies and exams, making your learning process more efficient and effective.
One of the key benefits of this resource is the convenience it offers. With all the essential equations in one place, you can easily identify and apply the relevant formulas for different statistical scenarios. This not only saves time but also helps in building a strong foundation in statistics, enabling you to approach complex problems with confidence.
What Is (and Isn't) on the AP Statistics Formula Sheet?
A colorful, hand-drawn illustration of various statistical equations, including mean, median, and standard deviation. The vibrant colors and playful style make it memorable and fun to study.
Ap Statistics formulas and tables - Docsity
A vintage-style chalkboard with a list of statistical formulas written in elegant cursive. The background is a muted gray, allowing the elegant handwriting to stand out, perfect for a retro study session.
Ap Statistics Formula Sheet printable pdf download
A digital spreadsheet with rows and columns filled with statistical equations, each in a different color. The organized layout and clear formatting make it easy to navigate and study, suitable for online learning.
Ap Statistics Formula Sheet - Fill and Sign Printable Template Online
A simple, black-and-white photograph of a desk with a stack of books and a notepad, featuring a handwritten list of statistical formulas. The natural lighting and cluttered background add a sense of realism.
What Is (and Isn't) on the AP Statistics Formula Sheet?
A modern, digital graphic with a gradient background, displaying a list of statistical terms and their definitions. The clean design and clear typography make it accessible and easy to share on digital platforms.
What Is (and Isn't) on the AP Statistics Formula Sheet?
A hand-painted watercolor scene of a forest with trees representing different statistical concepts, like 'Mean Oak' and 'Variance Pine'. The artistic approach makes it unique and memorable.
A New Formula Sheet for the AP Statistics Exam
A minimalist poster with a bold, geometric design, showcasing key statistical formulas. The stark black and white color scheme and sharp angles create a powerful visual impact.
Top 5 Ap Statistics Formula Sheets free to download in PDF format
A colorful, abstract representation of data distribution, with shapes and lines forming a vibrant, statistical equation. The artistic style adds a creative twist to learning.
Statistics formula sheet and tables 2020 - Formulas and Tables for AP ...
A vintage-style, hand-drawn map of statistical concepts, with each region representing a different formula. The intricate details and old-world charm make it a fascinating study tool.
Formula Sheet Ap Statistics at Owen Bateman blog
A digital collage of various statistical charts and graphs, each in a different style. The diverse visual elements create a dynamic and engaging learning experience.
Formula Sheet Ap Statistics at Owen Bateman blog
A simple, line art illustration of a person holding a notepad with statistical formulas, set against a blank background. The focus on the person adds a human touch to the otherwise technical content.
Chapter 8 9 Formula Study Sheet-1.pdf - AP Stats Chapter 8 9 Study ...
A colorful, comic-style panel with a superhero battling statistical challenges, each represented by a different equation. The fun narrative approach makes learning engaging and entertaining.
AP® Statistics Equation Sheet: Essential Formulas You Must Know!
A minimalist, black-and-white photograph of a desk with a single, brightly colored post-it note containing a statistical formula. The focus on the note adds a personal touch to the otherwise sparse setting.
A New Formula Sheet for the AP Statistics Exam
A digital infograph with a timeline of statistical discoveries, each milestone represented by a different icon. The chronological layout provides a historical context to the formulas.
Image
A hand-drawn, whimsical illustration of a statistical formula as a magical spell, with each term represented by a different incantation. The creative approach adds a playful twist to learning.
Ap Statistics Formulas and Tables Sheet Download Printable PDF ...
A modern, digital graphic with a gradient background, displaying a list of statistical terms and their definitions. The clean design and clear typography make it accessible and easy to share on digital platforms.
Stats+Medic+-+Chapter+11+Review+-+Formula+Sheet+Answer+Key - AP Stats ...
A vintage-style, hand-drawn clock face with statistical formulas marked on the numbers, representing time-based statistics. The unique concept adds a creative twist to learning.
AP Statistics Formula Sheet - Wiingy
A colorful, abstract representation of data distribution, with shapes and lines forming a vibrant, statistical equation. The artistic style adds a creative twist to learning.
Ap Statistics Formulas and Tables Sheet Download Printable PDF ...
A simple, line art illustration of a person holding a notepad with statistical formulas, set against a blank background. The focus on the person adds a human touch to the otherwise technical content.
AP Statistics Formula Sheet - ENTIRE YEAR of Vocabulary, Formulas ...
A digital spreadsheet with rows and columns filled with statistical equations, each in a different color. The organized layout and clear formatting make it easy to navigate and study, suitable for online learning.
Spectacular Ap Statistics Formula Sheet 2020 Balancing Equations Answers
A colorful, comic-style panel with a superhero battling statistical challenges, each represented by a different equation. The fun narrative approach makes learning engaging and entertaining.
AP Statistics Cheat Sheet | Stats & Probability Formula Quick Reference ...
A minimalist, black-and-white photograph of a desk with a single, brightly colored post-it note containing a statistical formula. The focus on the note adds a personal touch to the otherwise sparse setting.
Formula Sheet Ap Statistics at Owen Bateman blog
A digital infograph with a timeline of statistical discoveries, each milestone represented by a different icon. The chronological layout provides a historical context to the formulas.
Formula Sheet Ap Statistics at Owen Bateman blog
A hand-drawn, whimsical illustration of a statistical formula as a magical spell, with each term represented by a different incantation. The creative approach adds a playful twist to learning.
AP Statistics Formula Sheet
A vintage-style, hand-drawn clock face with statistical formulas marked on the numbers, representing time-based statistics. The unique concept adds a creative twist to learning.
Ap Stats Formula Sheet Explanations - YouTube
A colorful, abstract representation of data distribution, with shapes and lines forming a vibrant, statistical equation. The artistic style adds a creative twist to learning.
Ap Statistics Formula Sheet printable pdf download
A simple, line art illustration of a person holding a notepad with statistical formulas, set against a blank background. The focus on the person adds a human touch to the otherwise technical content.
Formula Sheet Ap Statistics at Owen Bateman blog
A digital spreadsheet with rows and columns filled with statistical equations, each in a different color. The organized layout and clear formatting make it easy to navigate and study, suitable for online learning.
Statistics Formula Sheet Explained
A colorful, comic-style panel with a superhero battling statistical challenges, each represented by a different equation. The fun narrative approach makes learning engaging and entertaining.
Ultimate AP Stat Cheat Sheet (2024): Free PDF & Key Formulas ...
A minimalist, black-and-white photograph of a desk with a single, brightly colored post-it note containing a statistical formula. The focus on the note adds a personal touch to the otherwise sparse setting.
Formula Sheet Ap Statistics at Owen Bateman blog
A digital infograph with a timeline of statistical discoveries, each milestone represented by a different icon. The chronological layout provides a historical context to the formulas.
STATISTICS Formula Sheet
A hand-drawn, whimsical illustration of a statistical formula as a magical spell, with each term represented by a different incantation. The creative approach adds a playful twist to learning.
Statistics Formula Cheat Sheet Download Printable PDF | Templateroller
A detailed look at ap stats equation sheet
.
Statistics Formula Sheet | PDF | Mean | Mathematical Analysis
A detailed look at ap stats equation sheet
.
Statistics Formula Sheet Explained
A detailed look at ap stats equation sheet
.
Statistics Formula Sheet Explained
A detailed look at ap stats equation sheet
.
What's on the AP Stat Formula Sheet? | The Princeton Review
A detailed look at ap stats equation sheet
.
Statistics Formula Sheet Explained
A detailed look at ap stats equation sheet
.
Statistics Formula Sheet: Key Equations & Concepts
A detailed look at ap stats equation sheet
.
Want a 5? Your Ultimate AP Stats 2025 Formula Sheet Guide - Transtutor.blog
A detailed look at ap stats equation sheet
.
Formula Sheet Ap Statistics at Owen Bateman blog
A detailed look at ap stats equation sheet
.
Tabla De Referencia Ap Stat
A detailed look at ap stats equation sheet
.
Formula Sheet | PDF | Probability Distribution | Statistics
A detailed look at ap stats equation sheet
.
College Statistics Formula Sheet
A detailed look at ap stats equation sheet
.