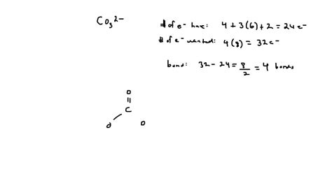
The carbonate ion is a fundamental concept in chemistry, particularly in the study of Lewis structures. It is a polyatomic ion with the chemical formula CO32-, consisting of a central carbon atom bonded to three oxygen atoms. Understanding the Lewis structure of carbonate is crucial as it helps explain various chemical properties and reactions involving this ion.
In this expository piece, we will delve into the intricacies of the carbonate ion's Lewis structure, exploring its formation, shape, and significance in chemical bonding. By the end, readers will gain a comprehensive understanding of this essential concept in chemistry.
The carbonate ion plays a crucial role in numerous chemical processes, including the formation of carbonic acid, a key player in the blood's pH regulation. Its Lewis structure provides valuable insights into its reactivity and behavior in different chemical environments.
Carbonate Ion Formula - GeeksforGeeks
The carbonate ion's structure is shown with a 3D model. The carbon atom is at the center, connected by single bonds to three oxygen atoms. The model is rendered with a realistic, three-dimensional look, providing a clear view of the ion's geometry.
CO3 Lewis Struktur 2 Formelle Gebühren
A close-up view of the carbonate ion, CO3^2-, is captured in a scientific illustration. The carbon atom is at the core, with three oxygen atoms extending outwards, forming a trigonal planar shape. The illustration is detailed, showing the ionic bonds clearly.
Understanding the Lewis Structure of Carbonate Ion
The carbonate ion's Lewis structure is presented in a step-by-step breakdown. Each oxygen atom is numbered, and the carbon atom is labeled. The image is a clear, educational diagram, useful for teaching chemistry concepts.
CO32- lewis structure, molecular geometry, and bond angle
A 3D rendering of the carbonate ion, CO3^2-, is shown in a vibrant, colorful style. The ion is surrounded by a glowing aura, making it appear almost magical. This artistic representation could be used in educational materials to capture attention.
Carbonate ion (CO32-) Resonance structures - How to draw?
A simple, flat design of the carbonate ion, CO3^2-, is presented. The ion is depicted with a clean, modern aesthetic, using a gradient of blue and green colors to represent the oxygen and carbon atoms. This design could be used in infographics or educational materials.
Carbonate Lewis Structure
A detailed, hand-drawn sketch of the carbonate ion, CO3^2-, is shown. The carbon atom is at the center, with three oxygen atoms extending outwards, forming a trigonal planar shape. The sketch has a whimsical, artistic feel, adding a unique touch to educational content.
Master CO3 2- lewis dot structure | Carbonate ion - YouTube
A 3D model of the carbonate ion, CO3^2-, is rendered with a realistic, shiny surface. The ion is shown in a transparent, blue-green color, allowing the underlying structure to be visible. This model could be used in scientific visualizations or educational videos.
Determine the following for the carbonate ion. a. formula b. Lewis ...
A minimalist, black-and-white illustration of the carbonate ion, CO3^2-, is presented. The ion is depicted with sharp, clean lines, emphasizing the geometric shape. This simple design could be used in educational materials or scientific posters.
Co32 Lewis Structure
A step-by-step animation of the carbonate ion, CO3^2-, forming is shown. Each oxygen atom is added one by one to the central carbon atom, forming the trigonal planar structure. The animation is educational and could be used in chemistry lessons.
CO32- Lewis Structure - How to Draw the Lewis Structure for CO3 2 ...
A 3D rendering of the carbonate ion, CO3^2-, is shown in a dark, futuristic style. The ion is surrounded by a glowing, blue-green aura, giving it a sci-fi feel. This design could be used in speculative science or educational content.
Solved Draw the Lewis structure for carbonate (CO32−). Does | Chegg.com
A detailed, scientific diagram of the carbonate ion, CO3^2-, is presented. The ion is shown with a clear, labeled structure, including the positions of the carbon and oxygen atoms. The diagram is precise and could be used in research papers or educational materials.
Image
A hand-painted, watercolor illustration of the carbonate ion, CO3^2-, is shown. The ion is depicted with soft, blended colors, creating a peaceful, organic feel. This artistic approach could be used in nature-themed educational content.
Solved The Lewis structure of carbonate (CO32−) is shown on | Chegg.com
A 3D model of the carbonate ion, CO3^2-, is rendered with a transparent, blue-green surface. The ion is shown in a realistic, shiny state, allowing the underlying structure to be visible. This model could be used in scientific visualizations or educational videos.
Image
A minimalist, flat design of the carbonate ion, CO3^2-, is presented. The ion is depicted with a clean, modern aesthetic, using a gradient of blue and green colors to represent the oxygen and carbon atoms. This design could be used in infographics or educational materials.
SOLVED: Using formal charges, which Lewis dot structure is correct for ...
A detailed, scientific illustration of the carbonate ion, CO3^2-, is shown. The ion is depicted with precise, labeled bonds, showing the positions of the carbon and oxygen atoms. The illustration is clear and could be used in research papers or educational materials.
Co32 Lewis Structure
A step-by-step animation of the carbonate ion, CO3^2-, forming is shown. Each oxygen atom is added one by one to the central carbon atom, forming the trigonal planar structure. The animation is educational and could be used in chemistry lessons.
draw the electron dot structure of CO3-2 ion / Lewis dot structure of ...
A 3D rendering of the carbonate ion, CO3^2-, is shown in a vibrant, colorful style. The ion is surrounded by a glowing aura, making it appear almost magical. This artistic representation could be used in educational materials to capture attention.
SOLVED: 'a) Draw the Lewis structure of the carbonate ion. COs ...
A minimalist, black-and-white illustration of the carbonate ion, CO3^2-, is presented. The ion is depicted with sharp, clean lines, emphasizing the geometric shape. This simple design could be used in educational materials or scientific posters.
A lewis structure for the carbonate ion (co3) is drawn below, but ...
A detailed, scientific diagram of the carbonate ion, CO3^2-, is presented. The ion is shown with a clear, labeled structure, including the positions of the carbon and oxygen atoms. The diagram is precise and could be used in research papers or educational materials.
[Solved] Draw the lewis structure for the carbonate ion CO3^-2 on your ...
A hand-drawn, whimsical illustration of the carbonate ion, CO3^2-, is shown. The ion is depicted with a playful, cartoonish style, making it memorable. This artistic approach could be used in educational content aimed at younger audiences.
Carbonate Lewis Structure
A 3D model of the carbonate ion, CO3^2-, is rendered with a realistic, shiny surface. The ion is shown in a transparent, blue-green color, allowing the underlying structure to be visible. This model could be used in scientific visualizations or educational videos.
CO32- lewis structure, molecular geometry, and bond angle
A step-by-step breakdown of the carbonate ion, CO3^2-, formation is shown. Each step is labeled, showing the addition of oxygen atoms to the carbon atom. The image is educational and could be used in chemistry lessons.
How To Draw The Lewis Structure of CO3 2- (Carbonate Ion) - Chemistry
A minimalist, flat design of the carbonate ion, CO3^2-, is presented. The ion is depicted with a clean, modern aesthetic, using a gradient of blue and green colors to represent the oxygen and carbon atoms. This design could be used in infographics or educational materials.
Image
A detailed, scientific illustration of the carbonate ion, CO3^2-, is shown. The ion is depicted with precise, labeled bonds, showing the positions of the carbon and oxygen atoms. The illustration is clear and could be used in research papers or educational materials.
Draw the Lewis structure for carbonate ion, ${\\text{CO}}_{\\text{3 ...
A 3D rendering of the carbonate ion, CO3^2-, is shown in a dark, futuristic style. The ion is surrounded by a glowing, blue-green aura, giving it a sci-fi feel. This design could be used in speculative science or educational content.
SOLVED: For CO32 -, carbonate ion, draw the Lewis structure (by ...
A hand-painted, watercolor illustration of the carbonate ion, CO3^2-, is shown. The ion is depicted with soft, blended colors, creating a peaceful, organic feel. This artistic approach could be used in nature-themed educational content.
a student proposes the following lewis structure for the carbonate co ...
A detailed look at carbonate ion lewis structure
.
Carbonate Lewis Structure
A detailed look at carbonate ion lewis structure
.
The Lewis structure of the carbonate ion - YouTube
A detailed look at carbonate ion lewis structure
.
Co32 Lewis Structure
A detailed look at carbonate ion lewis structure
.
Carbonate Lewis Structure
A detailed look at carbonate ion lewis structure
.
SOLVED: How do you draw a Lewis dot structure for the carbonate ion ...
A detailed look at carbonate ion lewis structure
.
Solved A student proposes the following Lewis structure for | Chegg.com
A detailed look at carbonate ion lewis structure
.
Image
A detailed look at carbonate ion lewis structure
.
CO32- Resonance Structures - How to Draw Step by Step!
A detailed look at carbonate ion lewis structure
.
CO32- Lewis Structure How To Draw The Lewis Structure For, 58% OFF
A detailed look at carbonate ion lewis structure
.
CK12-Foundation
A detailed look at carbonate ion lewis structure
.
SOLVED: Using formal charges, which Lewis dot structure is correct for ...
A detailed look at carbonate ion lewis structure
.
Lewis Electron Dot Structures - GeeksforGeeks
A detailed look at carbonate ion lewis structure
.
Resonance in Chemistry: A-Level Guide
A detailed look at carbonate ion lewis structure
.
Draw the structure of CO32-. Include all lone pairs of electrons and ...
A detailed look at carbonate ion lewis structure
.
PPT - Formal Charge PowerPoint Presentation, free download - ID:338614
A detailed look at carbonate ion lewis structure
.
Image
A detailed look at carbonate ion lewis structure
.
52. Lewis Structure, Formal Charge, VSEPR of Hydrogen Carbonate Ion ...
A detailed look at carbonate ion lewis structure
.