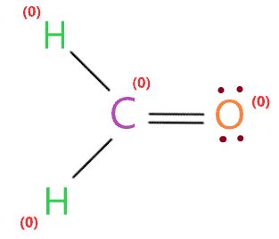
The CH2O molecule, also known as formaldehyde, is a simple organic compound with a wide range of applications. Understanding its molecular geometry is essential to grasp its properties and behavior. This molecule consists of one carbon atom bonded to two hydrogen atoms and one oxygen atom, forming a trigonal planar structure.
The electronegativity of the atoms plays a crucial role in determining the molecular geometry. Oxygen, being more electronegative than carbon, pulls the shared electrons closer to itself, resulting in a slightly negative charge around the oxygen atom and a slightly positive charge around the carbon atom. This electronegativity difference leads to a polar covalent bond, where the bond is not equally shared.
The unique molecular geometry of CH2O has significant implications for its chemical behavior. The molecule's shape allows for the formation of hydrogen bonds with other molecules containing hydrogen bonded to highly electronegative atoms like nitrogen or oxygen. This property is fundamental to understanding the compound's role in various biological processes and its applications in industries such as pharmaceuticals and materials science.
The key benefit of understanding the CH2O molecular geometry lies in its ability to predict and explain the compound's reactivity and interactions with other substances. This knowledge is vital for researchers and professionals working with formaldehyde and its derivatives, ensuring safe handling, and optimizing its use in various applications.
Lewis Structure
Close-up of a CH2O molecule, with its atoms represented by simple, stylized spheres. The carbon atom is slightly larger than the hydrogen and oxygen atoms, and the molecule appears to be floating in a dark, abstract background, creating a sense of depth.
Shape
CH2O molecule in a vibrant, colorful representation, with the carbon atom at the center, surrounded by a ring of hydrogen and oxygen atoms. The image has a playful, cartoonish feel, with bold colors and a whimsical background.
Molecules
3D rendering of a CH2O molecule, with a focus on the oxygen atom's double bond. The image is in a dark, shadowy background, highlighting the molecule's structure with precise lines and a sense of depth.
T-shaped
A simple, minimalist representation of the CH2O molecule, with a focus on the carbon atom's central position. The image is in a clean, white background, with a modern, abstract feel, emphasizing the molecule's simplicity.
3D
CH2O molecule in a scientific illustration, with a detailed, realistic rendering of the atoms. The image has a professional, educational feel, with precise lines and a clear, uncluttered background.
CH2O Molecular geometry, Polarity, Bond angle & Shape - Geometry of ...
A CH2O molecule in a futuristic, digital art style, with a glowing, neon-colored background. The molecule appears to be floating in a virtual space, with a sense of movement and energy.
CH2O Lewis structure, Molecular geometry, Bond angle, Hybridization
A close-up of a CH2O molecule, with a focus on the hydrogen atoms' bonding. The image is in a dark, shadowy background, highlighting the molecule's structure with precise lines and a sense of depth.
CH2O Lewis structure, Molecular geometry, Bond angle, Hybridization
A CH2O molecule in a colorful, abstract representation, with the carbon atom at the center, surrounded by a ring of hydrogen and oxygen atoms. The image has a playful, whimsical feel, with bold colors and a modern background.
PPT - Molecular Geometry and 3D Structures of Molecules PowerPoint ...
A 3D model of the CH2O molecule, with a focus on the oxygen atom's double bond. The image is in a clean, white background, with precise lines and a sense of depth, creating a professional, educational feel.
Image
A CH2O molecule in a minimalist, geometric representation, with the carbon atom at the center, surrounded by a ring of hydrogen and oxygen atoms. The image has a modern, abstract feel, with a clean background and precise lines.
CH2O Lewis structure, Molecular geometry, Bond angle, Hybridization
A close-up of a CH2O molecule, with a focus on the oxygen atom's bonding. The image is in a dark, shadowy background, highlighting the molecule's structure with precise lines and a sense of depth.
CH2O Molecular Geometry / Shape and Bond Angles - YouTube
A CH2O molecule in a scientific illustration, with a detailed, realistic rendering of the atoms. The image has a professional, educational feel, with precise lines and a clear, uncluttered background.
CH2O Molecular Geometry,Shape and Bond Angles (Formaldehyde) - YouTube
A CH2O molecule in a futuristic, digital art style, with a glowing, neon-colored background. The molecule appears to be floating in a virtual space, with a sense of movement and energy.
CH2O Lewis structure, Molecular geometry, Bond angle, Hybridization
A CH2O molecule in a minimalist, geometric representation, with the carbon atom at the center, surrounded by a ring of hydrogen and oxygen atoms. The image has a modern, abstract feel, with a clean background and precise lines.
CH2O lewis structure, molecular geometry, bond angle, hybridization?
A close-up of a CH2O molecule, with a focus on the hydrogen atoms' bonding. The image is in a dark, shadowy background, highlighting the molecule's structure with precise lines and a sense of depth.
CH2O Molecular geometry, Polarity, Bond angle & Shape - Geometry of ...
A CH2O molecule in a colorful, abstract representation, with the carbon atom at the center, surrounded by a ring of hydrogen and oxygen atoms. The image has a playful, whimsical feel, with bold colors and a modern background.
Ch2o Molecule
A 3D model of the CH2O molecule, with a focus on the oxygen atom's double bond. The image is in a clean, white background, with precise lines and a sense of depth, creating a professional, educational feel.
sawolf - Blog
A CH2O molecule in a scientific illustration, with a detailed, realistic rendering of the atoms. The image has a professional, educational feel, with precise lines and a clear, uncluttered background.
Ch2o Molecule
A CH2O molecule in a minimalist, geometric representation, with the carbon atom at the center, surrounded by a ring of hydrogen and oxygen atoms. The image has a modern, abstract feel, with a clean background and precise lines.
CH2O Lewis structure, Molecular geometry, Bond angle, Hybridization
A close-up of a CH2O molecule, with a focus on the oxygen atom's bonding. The image is in a dark, shadowy background, highlighting the molecule's structure with precise lines and a sense of depth.
Lewis Dot Structure For Ch2o
A CH2O molecule in a futuristic, digital art style, with a glowing, neon-colored background. The molecule appears to be floating in a virtual space, with a sense of movement and energy.
Formaldehyde 3D Model CH2O 3D free 3D model | CGTrader
A CH2O molecule in a colorful, abstract representation, with the carbon atom at the center, surrounded by a ring of hydrogen and oxygen atoms. The image has a playful, whimsical feel, with bold colors and a modern background.
CH2O lewis structure, molecular geometry, bond angle, hybridization?
A 3D model of the CH2O molecule, with a focus on the oxygen atom's double bond. The image is in a clean, white background, with precise lines and a sense of depth, creating a professional, educational feel.
CH2O lewis structure, molecular geometry, bond angle, hybridization?
A CH2O molecule in a scientific illustration, with a detailed, realistic rendering of the atoms. The image has a professional, educational feel, with precise lines and a clear, uncluttered background.
Ch2o Molecule
A CH2O molecule in a minimalist, geometric representation, with the carbon atom at the center, surrounded by a ring of hydrogen and oxygen atoms. The image has a modern, abstract feel, with a clean background and precise lines.
Ch2o Molecule
A close-up of a CH2O molecule, with a focus on the hydrogen atoms' bonding. The image is in a dark, shadowy background, highlighting the molecule's structure with precise lines and a sense of depth.
CH2O lewis structure, molecular geometry, bond angle, hybridization?
A CH2O molecule in a colorful, abstract representation, with the carbon atom at the center, surrounded by a ring of hydrogen and oxygen atoms. The image has a playful, whimsical feel, with bold colors and a modern background.
[Solved] The shape of formaldehyde CH2O (C is the central atom), a ...
A detailed look at ch2o molecular geometry
.
Formaldehyde Molecular Geometry
A detailed look at ch2o molecular geometry
.
What is the Lewis Structure of Formaldehyde?
A detailed look at ch2o molecular geometry
.
In this video we are going to learn about the Lewis structure of CH2O ...
A detailed look at ch2o molecular geometry
.
VSEPR Theory and Molecular Geometry - BF3, CH2O, HCN, BeCl2, CH2Cl2 ...
A detailed look at ch2o molecular geometry
.
Formaldehyde Ch2o Molecular Model Formaldehyde Known Stock Illustration ...
A detailed look at ch2o molecular geometry
.
CH2O Lewis structure, Molecular geometry, Bond angle, Hybridization
A detailed look at ch2o molecular geometry
.
Ch2o 3d Structure
A detailed look at ch2o molecular geometry
.
HCN Lewis Structure, Molecular Geometry, Shape, and Polarity
A detailed look at ch2o molecular geometry
.
Ch2o Molecule
A detailed look at ch2o molecular geometry
.
PPT - Molecular Geometry and 3D Structures of Molecules PowerPoint ...
A detailed look at ch2o molecular geometry
.
Image
A detailed look at ch2o molecular geometry
.
Ch2o 3d Structure
A detailed look at ch2o molecular geometry
.
CH2O Lewis Structure, Valence electrons & Hybridization - Geometry of ...
A detailed look at ch2o molecular geometry
.
Formaldehyde Molecular Structure Isolated on White Stock Illustration ...
A detailed look at ch2o molecular geometry
.
Solved Look at the Lewis structure of CH2O. Click on the | Chegg.com
A detailed look at ch2o molecular geometry
.
Image
A detailed look at ch2o molecular geometry
.