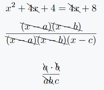
The term "latex cross out" refers to a technique used in various fields, particularly in academia and technical writing, to visually indicate the removal or negation of a word or phrase. This method is commonly employed in academic papers, research articles, and technical documentation to draw attention to changes or corrections made in the text. It is a useful tool for enhancing clarity and ensuring that readers can easily understand the intended meaning.
The process involves using a specific symbol or character to cross out the word or phrase, often with a single line or a diagonal line, to create a visual contrast. This technique is particularly helpful when making corrections or indicating that a particular term should be disregarded or replaced.
One of the key benefits of using this method is the ability to provide clear and concise feedback. By employing the "latex cross out" technique, writers can effectively communicate their intended changes, ensuring that the final document is accurate and easy to understand.
This practice is often associated with the use of latex, a document preparation system, which provides a way to create formatted documents with precise control over the layout and appearance. However, the term can also be used more broadly to describe any method of visually crossing out text, regardless of the underlying software or tools used.
In the following sections, we will explore the various applications and considerations related to the "latex cross out" technique, including its implementation, benefits, and potential challenges.
formatting - How to cross out a word in LaTex - TeX - LaTeX Stack Exchange
This image features a close-up of a latex cross, its intricate design visible, with a soft, glowing aura. The cross is a delicate yet striking piece, ideal for a fantasy-themed art project or a unique, ethereal fashion accessory.
How to use strikethrough, crossout and cancel out in LaTeX?
A latex cross, with a vibrant, neon green color, stands out against a dark, shadowy background. The cross is a modern, edgy symbol, perfect for a street art installation or a bold, urban fashion statement.
How to use strikethrough, crossout and cancel out in LaTeX?
The image showcases a latex cross, with a sleek, minimalist design, in a neutral, earthy tone. This cross is a subtle yet powerful piece, suitable for a minimalist art exhibition or a sophisticated, contemporary fashion collection.
text decorations - How to write crossed-out math in LaTeX? - TeX ...
A latex cross, with a unique, twisted design, hangs from a rope, creating a sense of movement. The cross is a dynamic, modern symbol, perfect for a kinetic art installation or a fashion piece that captures movement.
matrices - How can i crossing out a row or a column in a matrix - TeX ...
A close-up of a latex cross, with intricate, geometric patterns, is set against a blurred, abstract background. The cross is a detailed, artistic piece, ideal for a surrealist art project or a unique, abstract fashion accessory.
Man In Latex Crossdressing by LatexFanLux on DeviantArt
A latex cross, with a shiny, metallic finish, stands out against a dark, charcoal background. The cross is a futuristic, industrial symbol, perfect for a sci-fi art theme or a bold, industrial fashion statement.
Crossdressing Young Transparent Latex by LatexFanLux on DeviantArt
A latex cross, with a soft, pastel pink hue, is set against a light, dreamy background. The cross is a delicate, romantic piece, ideal for a fairy-tale-themed art project or a whimsical, feminine fashion collection.
Latex Cross Bodysuit | Etsy
A latex cross, with a bold, red color, is placed on a white background, creating a striking contrast. The cross is a powerful, modern symbol, perfect for a protest art piece or a bold, political fashion statement.
matrices - How to cross a row in matrix with a line? - TeX - LaTeX ...
A latex cross, with a unique, spiral design, is set against a dark, starry background. The cross is a mystical, cosmic symbol, ideal for a space-themed art project or a fantasy, otherworldly fashion accessory.
tikz pic - How to cross out few entries in table? - TeX - LaTeX Stack ...
A close-up of a latex cross, with a shiny, silver finish, is set against a blurred, urban cityscape. The cross is a modern, industrial piece, perfect for an urban art installation or a futuristic fashion statement.
Advanced LaTeX Cross-references - LaTeX-Tutorial.com
A latex cross, with a unique, layered design, is set against a soft, blurred background. The cross is a complex, intricate piece, ideal for a modern art exhibition or a unique, abstract fashion accessory.
symbols - How to create a crossed out calligraphic S? - TeX - LaTeX ...
A latex cross, with a vibrant, blue color, is placed on a white background, creating a cool, calming effect. The cross is a serene, modern symbol, perfect for a meditation art piece or a peaceful, minimalist fashion collection.
Latex hobble corset dress with mittens by DonAban on DeviantArt
A latex cross, with a unique, twisted rope design, is set against a dark, shadowy background. The cross is a mysterious, edgy piece, ideal for a gothic art theme or a dark, urban fashion statement.
Latex Crossdresser Fashion: A Sharp Tool for Deep Feminine Exploration
A latex cross, with a shiny, gold finish, is set against a soft, blurred background. The cross is a luxurious, elegant piece, perfect for a high-end fashion collection or a sophisticated, modern art exhibition.
Image
A latex cross, with a unique, geometric pattern, is set against a vibrant, colorful background. The cross is a playful, artistic piece, ideal for a children's book illustration or a fun, colorful fashion accessory.
Misfitz black & red latex kinky nun outfit
A latex cross, with a bold, black and white design, is set against a dark, urban background. The cross is a powerful, street art piece, perfect for a graffiti art installation or a bold, urban fashion statement.
ulem - fun style cross-strike-out - TeX - LaTeX Stack Exchange
A latex cross, with a unique, layered rope design, is set against a soft, blurred background. The cross is a complex, intricate piece, ideal for a modern art exhibition or a unique, abstract fashion accessory.
Latex Cross-front Dress | Etsy
A latex cross, with a shiny, copper finish, is set against a dark, shadowy background. The cross is a rustic, industrial symbol, perfect for a vintage art theme or a bold, industrial fashion statement.
Matrices in LaTeX - LaTeX-Tutorial.com
A latex cross, with a unique, spiral rope design, is set against a soft, blurred background. The cross is a dynamic, modern piece, ideal for a kinetic art installation or a fashion accessory that captures movement.
Labels and Cross-referencing in LaTeX (Latex Basic Tutorial-10) - YouTube
A latex cross, with a bold, red and black design, is set against a dark, urban background. The cross is a powerful, street art piece, perfect for a protest art installation or a bold, political fashion statement.
9. Symbols in math formulas
A latex cross, with a unique, layered design, is set against a soft, blurred background. The cross is a complex, intricate piece, ideal for a modern art exhibition or a unique, abstract fashion accessory.
matrices - How can I get the explanation borders with pmatrix? - TeX ...
A latex cross, with a shiny, silver and black design, is set against a dark, urban background. The cross is a futuristic, industrial piece, perfect for a sci-fi art theme or a bold, urban fashion statement.
graphics - Crossed out red box fitting tightly around image - TeX ...
A latex cross, with a unique, twisted design, is set against a soft, blurred background. The cross is a dynamic, modern piece, ideal for a kinetic art installation or a fashion accessory that captures movement.
transparency - Cross out words with TikZ: line opacity - TeX - LaTeX ...
A latex cross, with a bold, red and white design, is set against a dark, urban background. The cross is a powerful, street art piece, perfect for a protest art installation or a bold, political fashion statement.
How To Draw A Matrix In Latex
A latex cross, with a unique, spiral design, is set against a soft, blurred background. The cross is a mystical, cosmic piece, ideal for a space-themed art project or a fantasy, otherworldly fashion accessory.
What is pmatrix in LaTeX?
A latex cross, with a shiny, gold and black design, is set against a dark, urban background. The cross is a luxurious, industrial piece, perfect for a high-end fashion collection or a sophisticated, modern art exhibition.
symbols - Checkmark with cross - TeX - LaTeX Stack Exchange
A latex cross, with a unique, geometric pattern, is set against a vibrant, colorful background. The cross is a playful, artistic piece, ideal for a children's book illustration or a fun, colorful fashion accessory.
tikz pgf - Animation with math crossed out or circled - TeX - LaTeX ...
A latex cross, with a bold, black and white design, is set against a dark, urban background. The cross is a powerful, street art piece, perfect for a graffiti art installation or a bold, urban fashion statement.
tikz pgf - How to color crossed out cell? - TeX - LaTeX Stack Exchange
A latex cross, with a unique, layered rope design, is set against a soft, blurred background. The cross is a complex, intricate piece, ideal for a modern art exhibition or a unique, abstract fashion accessory.
Latex Free, Information Label Sign with the Word Latex Inside a ...
A latex cross, with a shiny, copper and black design, is set against a dark, urban background. The cross is a rustic, industrial piece, perfect for a vintage art theme or a bold, industrial fashion statement.
Johansson latex cross by cross-man86 on DeviantArt
A detailed look at latex cross out
.
(Made in Malaysia) (2 Level -Super Heavy, Extreme Heavy) 41" Sanctband ...
A detailed look at latex cross out
.
Latex Information | Instructional use - Boston Scientific
A detailed look at latex cross out
.
Irish Latex Crossdressers (TG/TF) by Arabella1055 on DeviantArt
A detailed look at latex cross out
.
Latex Wear, Latex Dress, Vinyl Clothing, Latex Fashion, Catsuit, Sexy ...
A detailed look at latex cross out
.
Sissy latex crossdresser in an alley by LittleT85 on DeviantArt
A detailed look at latex cross out
.
Vidame-Cross Femme rubber Dress with cross cross lace up effect style
A detailed look at latex cross out
.
Megan fox latex cross by cross-man86 on DeviantArt
A detailed look at latex cross out
.
Latex Figure Matrix at Byron Wells blog
A detailed look at latex cross out
.
Pinterest
A detailed look at latex cross out
.
Latex Cross Front Dress - Latexcharms
A detailed look at latex cross out
.
Beautiful crossdressers: October 2019
A detailed look at latex cross out
.
Cross Product in LaTeX: Vector Notation and Symbols | Octree - AI LaTeX ...
A detailed look at latex cross out
.
Latex gurls in chastity cages are cute too 🥰 I ordered latex Outfits ...
A detailed look at latex cross out
.