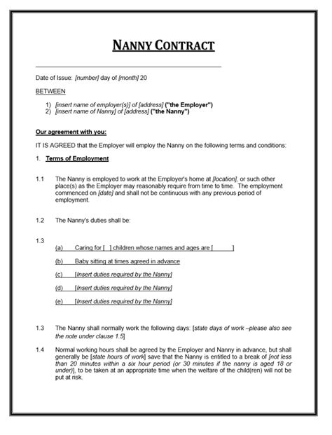
A nanny contract template is a valuable tool for families and nannies alike, providing a structured framework for employment agreements. This document outlines the terms and conditions of the nanny's role, ensuring both parties are on the same page from the start. It is an essential step in establishing a professional and mutually beneficial relationship.
The template typically includes details such as the nanny's duties, working hours, wages, and benefits. It also covers important aspects like vacation days, sick leave, and termination policies. By having a clear and concise contract, families can ensure they have a well-defined understanding of their nanny's role and responsibilities.
For nannies, a contract provides a sense of security and clarity about their employment rights. It ensures they are aware of their working conditions, payment terms, and any additional benefits they are entitled to. This transparency can foster a positive and respectful working environment.
In essence, a nanny contract template is a crucial document that facilitates a smooth and professional relationship between families and nannies, offering a comprehensive overview of the employment arrangement.
Nanny Contract Template - download free documents for PDF, Word and Excel
A nanny holding a colorful, illustrated contract template. The image is bright and cheerful, with a playful, child-friendly vibe. The nanny is smiling, surrounded by a stack of colorful, cartoonish documents, perfect for a fun, lighthearted approach to contract creation.
Nanny contract sample template pdf - Artofit
A close-up of a nanny's hand signing a contract, with a magnifying glass focusing on the signature. The image is detailed and formal, emphasizing the importance of the signature. The mood is serious and professional, suitable for a legal or business context.
Nanny Agreement Contract, Editable Google Sheets Nanny Contract ...
A nanny and a family sitting at a dining table, reviewing a contract template. The image is warm and inviting, with a cozy atmosphere. The family is engaged and attentive, making it a great visual for a family-oriented business or service.
Nanny agreement worksheet nanny contract nanny agreement nanny planner ...
A nanny holding a tablet with a digital contract template displayed. The image is modern and tech-savvy, showcasing the convenience of digital contracts. The mood is efficient and contemporary, perfect for a tech-focused business or service.
Nanny Contract Template - download free documents for PDF, Word and Excel
A nanny and a child sitting on a couch, reading a contract template together. The image is warm and friendly, with a focus on family bonding. The mood is relaxed and approachable, ideal for a family-friendly business or service.
34+ Free Printable Nanny Contract Templates - PDF, Word » American ...
A nanny organizing a stack of contract templates on a desk. The image is neat and tidy, with a professional, organized feel. The mood is efficient and well-prepared, perfect for a business or service that values structure.
Nanny Contract Templates (Basic Guide & Examples)
A nanny and a family standing in front of a bookshelf filled with contract templates. The image is cozy and inviting, with a sense of tradition. The mood is warm and welcoming, suitable for a family-oriented business or service.
Image
A nanny using a tablet to type on a digital contract template. The image is modern and sleek, showcasing the convenience of digital contracts. The mood is efficient and contemporary, perfect for a tech-focused business or service.
Nanny Contract Template Free
A nanny and a family sitting at a picnic table, reviewing a contract template. The image is outdoor and casual, with a relaxed atmosphere. The mood is fun and lighthearted, ideal for a family-friendly business or service.
Free Nanny Contract Templates - Guide - PDF | Word
A nanny holding a stack of contract templates, surrounded by a colorful, child-friendly backdrop. The image is bright and cheerful, with a playful, child-friendly vibe. The mood is fun and engaging, perfect for a business or service catering to families.
Image
A nanny and a family sitting at a kitchen table, reviewing a contract template. The image is warm and inviting, with a cozy atmosphere. The family is engaged and attentive, making it a great visual for a family-oriented business or service.
Free Nanny Contract Template | PDF & Word
A nanny using a laptop to type on a contract template, with a colorful, modern background. The image is professional and contemporary, showcasing the importance of a well-designed contract. The mood is focused and organized, ideal for a business setting.
Image
A nanny and a family standing in a living room, holding contract templates. The image is warm and welcoming, with a cozy atmosphere. The family is engaged and attentive, making it a great visual for a family-oriented business or service.
Free Printable Nanny Contract Agreement Templates [PDF, Word] Sample
A nanny using a tablet to sign a digital contract template. The image is modern and sleek, showcasing the convenience of digital contracts. The mood is efficient and contemporary, perfect for a tech-focused business or service.
Nanny Contract Template - Fill Out, Sign Online and Download PDF ...
A nanny and a family sitting at a dining table, surrounded by a colorful, child-friendly backdrop. The image is warm and inviting, with a cozy atmosphere. The family is engaged and attentive, making it a great visual for a family-oriented business or service.
Free Printable Nanny Contract Agreement Templates [PDF, Word] Sample
A nanny holding a tablet with a digital contract template displayed, surrounded by a modern, clean background. The image is professional and contemporary, showcasing the importance of a well-designed contract. The mood is focused and organized, ideal for a business setting.
Free Printable Nanny Contract Agreement Templates [PDF, Word] Sample
A nanny and a family standing in a living room, holding contract templates. The image is warm and welcoming, with a cozy atmosphere. The family is engaged and attentive, making it a great visual for a family-oriented business or service.
Nanny Contract Sample Template | Template Samples
A nanny using a laptop to type on a contract template, with a colorful, modern background. The image is professional and contemporary, showcasing the importance of a well-designed contract. The mood is focused and organized, ideal for a business setting.
Nanny Work Agreement | Templates at allbusinesstemplates.com
A nanny and a family sitting at a picnic table, reviewing a contract template. The image is outdoor and casual, with a relaxed atmosphere. The mood is fun and lighthearted, ideal for a family-friendly business or service.
Nanny Contract Templates (Basic Guide & Examples)
A nanny holding a stack of contract templates, surrounded by a colorful, child-friendly backdrop. The image is bright and cheerful, with a playful, child-friendly vibe. The mood is fun and engaging, perfect for a business or service catering to families.
Image
A nanny using a tablet to type on a digital contract template. The image is modern and sleek, showcasing the convenience of digital contracts. The mood is efficient and contemporary, perfect for a tech-focused business or service.
Nanny Agreement Template - Content Calendar Template
A nanny and a family standing in a living room, holding contract templates. The image is warm and welcoming, with a cozy atmosphere. The family is engaged and attentive, making it a great visual for a family-oriented business or service.
Image
A nanny using a laptop to type on a contract template, with a colorful, modern background. The image is professional and contemporary, showcasing the importance of a well-designed contract. The mood is focused and organized, ideal for a business setting.
Free Nanny Contract Templates - Guide - PDF | Word
A nanny and a family sitting at a dining table, reviewing a contract template. The image is warm and inviting, with a cozy atmosphere. The family is engaged and attentive, making it a great visual for a family-oriented business or service.
Image
A nanny holding a tablet with a digital contract template displayed, surrounded by a modern, clean background. The image is professional and contemporary, showcasing the importance of a well-designed contract. The mood is focused and organized, ideal for a business setting.
Nanny Contract Templates (Basic Guide & Examples)
A nanny and a family standing in a living room, holding contract templates. The image is warm and welcoming, with a cozy atmosphere. The family is engaged and attentive, making it a great visual for a family-oriented business or service.
Image
A nanny using a laptop to type on a contract template, with a colorful, modern background. The image is professional and contemporary, showcasing the importance of a well-designed contract. The mood is focused and organized, ideal for a business setting.
Free Nanny Contract Template
A nanny and a family sitting at a picnic table, reviewing a contract template. The image is outdoor and casual, with a relaxed atmosphere. The mood is fun and lighthearted, ideal for a family-friendly business or service.
Nanny Contract Template Word
A nanny holding a stack of contract templates, surrounded by a colorful, child-friendly backdrop. The image is bright and cheerful, with a playful, child-friendly vibe. The mood is fun and engaging, perfect for a business or service catering to families.
Free Printable Nanny Contract Agreement Templates [PDF, Word] Sample
A detailed look at nanny contract template
.
Nanny Contract Template | Free Agreement Templates
A detailed look at nanny contract template
.
Free Printable Nanny Contract Agreement Templates [PDF, Word] Sample
A detailed look at nanny contract template
.
Free Subcontractor Agreement Templates - Editable
A detailed look at nanny contract template
.
Image
A detailed look at nanny contract template
.
Fill In Blank Printable Nanny Contract Template - Printable Learning Sheets
A detailed look at nanny contract template
.
Image
A detailed look at nanny contract template
.
Nanny Contract Template: Free Download
A detailed look at nanny contract template
.
Nanny contract template: Fill out & sign online | DocHub
A detailed look at nanny contract template
.
34+ Free Printable Nanny Contract Templates - PDF, Word » American ...
A detailed look at nanny contract template
.
Free Printable Nanny Contract Agreement Templates [PDF, Word] Sample
A detailed look at nanny contract template
.
Simple Lot Rental Agreement - Word | PDF | Google Docs - Highfile
A detailed look at nanny contract template
.
Image
A detailed look at nanny contract template
.
Nanny Agreement Template - Content Calendar Template
A detailed look at nanny contract template
.
Image
A detailed look at nanny contract template
.