In the realm of chemistry, understanding the behavior of molecules is crucial. One concept that often arises in this context is the idea of no2- resonance structures. This phenomenon is particularly interesting due to its impact on the stability and properties of certain compounds. In this introduction, we will explore the concept of no2- resonance structures and its significance in the field of chemistry.
Resonance structures play a vital role in explaining the behavior of molecules, especially those with multiple possible configurations. When it comes to the no2- ion, also known as nitrite, its resonance structures provide valuable insights into its chemical behavior. Nitrite is an important ion in chemistry, often involved in various chemical reactions and processes.
The no2- ion exhibits unique resonance structures due to its ability to delocalize electrons. This delocalization results in a more stable molecular configuration, which is a key benefit in understanding its reactivity and properties. By examining these resonance structures, chemists can better comprehend the behavior of no2- in different chemical environments.
Resonance Structures No2
Two resonance structures of NO2 are shown side by side. The left structure shows a single bond between nitrogen and oxygen, while the right structure shows a double bond. This visual comparison highlights the electron distribution differences and the resonance forms of the molecule.
NO2+ lewis structure, molecular geometry, bond angle, hybridization
A 3D model of NO2 molecule with its resonance structures. The model showcases the molecule's linear shape and the two possible resonance forms. The image is useful for educational purposes, allowing viewers to understand the concept of resonance and its application in molecular geometry.
Draw all possible resonance structures for NO2-. Determine the formal ...
A close-up image of a NO2 molecule, emphasizing its resonance structures. The molecule is shown with a double bond between nitrogen and oxygen, and a single bond between the nitrogen and the remaining oxygen. This detailed view highlights the electron density and the resonance forms.
NO2+, NO2- Resonance Structures - How to Draw Step by Step!
A chemical equation representing the resonance structures of NO2. The equation shows the two possible forms of the molecule, with the double bond in different positions. This visual representation is ideal for teaching students about resonance and its impact on molecular stability.
NO2+, NO2- Resonance Structures - How to Draw Step by Step!
A molecular orbital diagram of NO2, illustrating its resonance structures. The diagram shows the overlap of atomic orbitals and the resulting molecular orbitals. This image is valuable for understanding the electron configuration and the concept of resonance in molecular bonding.
Resonance Structures No2
A 3D rendering of a NO2 molecule with its resonance structures highlighted. The molecule is shown in a linear configuration, with the double bond in the center. The image is aesthetically pleasing and can be used in scientific presentations to illustrate the concept of resonance.
NO2+, NO2- Resonance Structures - How to Draw Step by Step!
A comparison of the bond order of NO2 in its resonance structures. The left structure has a bond order of 1.5, while the right structure has a bond order of 2. This visual comparison helps students understand the concept of bond order and its relationship with resonance.
NO2+, NO2- Resonance Structures - How to Draw Step by Step!
A chemical structure diagram of NO2 with its resonance forms. The molecule is shown in a linear configuration, with the double bond in the center. The image is clear and concise, making it suitable for educational materials and scientific publications.
Resonance Structures No2
A 3D model of NO2 with its resonance structures, showing the molecule's linear shape. The model is interactive, allowing users to rotate and view the molecule from different angles. This interactive feature enhances understanding of the molecule's geometry and resonance.
NO2+, NO2- Resonance Structures - How to Draw Step by Step!
A close-up image of the nitrogen atom in a NO2 molecule, showcasing its resonance structures. The nitrogen atom is shown with a single bond to one oxygen atom and a double bond to the other. This detailed view highlights the electron distribution around the nitrogen atom.
NO2+, NO2- Resonance Structures - How to Draw Step by Step!
A chemical equation representing the resonance structures of NO2, with the double bond in different positions. The equation is labeled with the resonance forms and their corresponding bond orders. This visual representation is useful for teaching students about resonance and its impact on molecular properties.
Nitrite Ion Lewis Structure
A 3D rendering of a NO2 molecule with its resonance structures, showing the molecule's linear shape. The image is high-resolution and detailed, making it suitable for scientific illustrations and educational materials. The molecule's geometry is clearly visible, aiding in understanding resonance.
Nitrite Ion Lewis Structure
A molecular orbital diagram of NO2, illustrating the resonance structures and their electron configurations. The diagram shows the overlap of atomic orbitals and the resulting molecular orbitals. This image is valuable for understanding the electron distribution and the concept of resonance in molecular bonding.
NO2+ lewis structure, molecular geometry, bond angle, hybridization
A comparison of the bond lengths in the resonance structures of NO2. The left structure shows a longer bond length, while the right structure shows a shorter bond length. This visual comparison helps students understand the impact of resonance on bond lengths and molecular geometry.
Resonance Structures No2
A chemical structure diagram of NO2 with its resonance forms, showing the molecule's linear shape. The image is labeled with the resonance forms and their corresponding bond orders. This clear and concise representation is ideal for educational materials and scientific publications.
Resonance Structures for NO2 (Nitrogen dioxide) - YouTube
A 3D model of NO2 with its resonance structures, allowing users to explore the molecule's geometry. The model is interactive, enabling users to rotate and view the molecule from different perspectives. This interactive feature enhances understanding of the molecule's resonance forms.
Resonance Structures No2
A close-up image of the oxygen atoms in a NO2 molecule, showcasing their resonance structures. The oxygen atoms are shown with single bonds to the nitrogen atom and a double bond between them. This detailed view highlights the electron distribution around the oxygen atoms.
Resonance Structures No2
A chemical equation representing the resonance structures of NO2, with the double bond in different positions. The equation is labeled with the resonance forms and their corresponding bond orders. This visual representation is useful for teaching students about resonance and its impact on molecular properties.
NO3- Resonance Structures - How to Draw Step by Step!
A 3D rendering of a NO2 molecule with its resonance structures, showing the molecule's linear shape. The image is high-resolution and detailed, making it suitable for scientific illustrations and educational materials. The molecule's geometry is clearly visible, aiding in understanding resonance.
Resonance Structures No2
A comparison of the molecular geometry of NO2 in its resonance structures. The left structure shows a trigonal planar geometry, while the right structure shows a bent geometry. This visual comparison helps students understand the impact of resonance on molecular shape.
Resonance Structures No2
A chemical structure diagram of NO2 with its resonance forms, showing the molecule's linear shape. The image is labeled with the resonance forms and their corresponding bond orders. This clear and concise representation is ideal for educational materials and scientific publications.
No2 Lewis Structure
A 3D model of NO2 with its resonance structures, allowing users to explore the molecule's geometry. The model is interactive, enabling users to rotate and view the molecule from different perspectives. This interactive feature enhances understanding of the molecule's resonance forms.
A Lewis structure for the nitrite ion (NO2^-) is shown on the left ...
A close-up image of the nitrogen atom in a NO2 molecule, showcasing its resonance structures. The nitrogen atom is shown with a single bond to one oxygen atom and a double bond to the other. This detailed view highlights the electron distribution around the nitrogen atom.
Solved NO2 (nitrite ion - draw two resonance structures) 30: | Chegg.com
A chemical equation representing the resonance structures of NO2, with the double bond in different positions. The equation is labeled with the resonance forms and their corresponding bond orders. This visual representation is useful for teaching students about resonance and its impact on molecular properties.
Image
A 3D rendering of a NO2 molecule with its resonance structures, showing the molecule's linear shape. The image is high-resolution and detailed, making it suitable for scientific illustrations and educational materials. The molecule's geometry is clearly visible, aiding in understanding resonance.
NO2- Lewis Structure in 6 Steps (With Images)
A detailed look at no2- resonance structures
.
NO2- Lewis Structure (Nitrite Ion) - YouTube
A detailed look at no2- resonance structures
.
SOLVED: NO2 NO2+ C N Look at the Lewis structures given above and ...
A detailed look at no2- resonance structures
.
Answered: Draw all resonance structures for the… | bartleby
A detailed look at no2- resonance structures
.
Resonance Structures No2
A detailed look at no2- resonance structures
.
Resonance Structures No2
A detailed look at no2- resonance structures
.
Lewis Structure of NO2 (With 5 Simple Steps to Draw!)
A detailed look at no2- resonance structures
.
Formal charge and resonance che1031_lecture_7_4 | PPTX
A detailed look at no2- resonance structures
.
Resonance Structures No2
A detailed look at no2- resonance structures
.
NO2- lewis structure, molecular geometry, bond angle, hybridization
A detailed look at no2- resonance structures
.
(Solved) - Resonance Structures are ways to represent the bonding in a ...
A detailed look at no2- resonance structures
.
Resonance Structures No2
A detailed look at no2- resonance structures
.
no2- lewis structure
A detailed look at no2- resonance structures
.
Resonance Structures No2
A detailed look at no2- resonance structures
.
Nitrite Ion Lewis Structure
A detailed look at no2- resonance structures
.
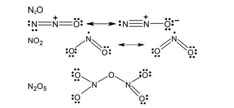
Welcome to Chem Zipper.com......: Write the Lewis structures of N2O ...
A detailed look at no2- resonance structures
.
No2 Lewis Structure
A detailed look at no2- resonance structures
.
No2 Lewis Structure
A detailed look at no2- resonance structures
.
Resonance Structures No2
A detailed look at no2- resonance structures
.