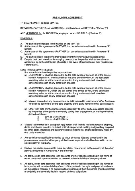
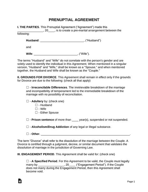
A prenuptial agreement sample is a crucial document for couples planning their future together. It outlines the financial and legal arrangements between two individuals before they get married, providing a clear understanding of each party's rights and responsibilities in the event of a divorce or death. This agreement is an essential tool to protect assets, clarify expectations, and ensure a fair and amicable separation.
The agreement typically covers various aspects, including the division of property, spousal support, and the handling of debts. It allows couples to make informed decisions about their financial future and can help prevent potential conflicts and misunderstandings down the line. By creating a prenuptial agreement, partners can approach their marriage with a sense of security and confidence, knowing their interests are protected.
One of the key benefits of a prenuptial agreement is the peace of mind it provides. It allows couples to focus on their relationship and the joy of their union, knowing that their financial matters are in order. This agreement can also safeguard assets, ensuring that each partner's financial contributions and individual possessions remain protected should the marriage end.
30+ Prenuptial Agreement Samples & Forms - Template Lab
Two hands, one holding a prenuptial agreement, the other a bouquet of flowers, symbolize the balance between legal protection and emotional commitment. A romantic and thoughtful concept for a wedding planner's website.
30+ Prenuptial Agreement Samples & Forms - Template Lab
A prenuptial agreement sample, displayed on a laptop, shows a couple's names and a detailed legal outline. The modern layout and clear presentation make it perfect for a financial advisor's blog post.
Download Prenuptial Agreement Template ⋆ Online Templates
The prenuptial agreement, a formal document, is presented with a vintage stamp and a wax seal, adding a touch of elegance. This image could be used for a historical legal firm's marketing campaign.
Free Prenuptial Agreement Legal Template for 2023 | PDF & Word
A prenuptial agreement, with a couple's names highlighted in red, sits on a sleek, minimalist background. The bold and modern design is suitable for a contemporary law firm's social media post.
30+ Simple Prenuptial Agreement Templates [Prenup Examples]
The prenuptial agreement, a legal document, is illustrated with a simple, clean line drawing, making it accessible and understandable. This image can be used for educational purposes in a law school's brochure.
30+ Prenuptial Agreement Samples & Forms - Template Lab
A prenuptial agreement, with a couple's initials, is displayed on a vintage typewriter, creating a nostalgic and traditional feel. Perfect for a historical wedding venue's promotional material.
Prenuptial Agreement Template: Prenup, Premarital Contract, Antenuptial ...
The prenuptial agreement, a formal document, is presented with a modern, digital signature, blending traditional and contemporary elements. Suitable for a tech-savvy law firm's website.
30+ Simple Prenuptial Agreement Templates [Prenup Examples]
A prenuptial agreement, with a couple's names, is set against a vibrant, colorful background, adding a playful twist. This image can be used for a fun, light-hearted law firm's blog post.
Free Prenuptial Agreement PDF Template ≡ SafeInet
The prenuptial agreement, a legal document, is presented with a simple, black and white photograph of a couple, adding a personal touch. Ideal for a romantic, personalized law firm's marketing.
Free Prenuptial Agreement Template ️ Fillable PDF Form
A prenuptial agreement, with a detailed legal outline, is displayed on a tablet, showing a couple's names in a bold, modern font. Perfect for a tech-focused law firm's promotional material.
30+ Prenuptial Agreement Samples & Forms - Template Lab
The prenuptial agreement, a formal document, is presented with a traditional, ornate frame, adding a sense of grandeur. Suitable for a luxury law firm's high-end marketing campaign.
35+ Free Sample Prenuptial Agreement Templates (PDF) » American Templates
A prenuptial agreement, with a couple's initials, is displayed on a rustic, wooden background, creating a natural and organic feel. Ideal for a nature-themed wedding venue's promotional material.
30+ Prenuptial Agreement Samples & Forms ᐅ TemplateLab
The prenuptial agreement, a legal document, is presented with a simple, minimalist design, making it accessible and easy to understand. Perfect for a modern, straightforward law firm's website.
30+ Prenuptial Agreement Samples & Forms ᐅ TemplateLab
A prenuptial agreement, with a couple's names, is set against a dark, dramatic background, adding a sense of mystery. This image can be used for a suspenseful, thriller-themed law firm's marketing.
Free Prenuptial Agreement Template ᐈ Simple PDF Form
The prenuptial agreement, a formal document, is presented with a vintage, hand-drawn illustration, adding a touch of whimsy. Suitable for a creative, artistic law firm's promotional material.
30+ Simple Prenuptial Agreement Templates [Prenup Examples]
A prenuptial agreement, with a couple's initials, is displayed on a sleek, glass background, creating a modern and elegant feel. Perfect for a high-end, sophisticated law firm's website.
Free Prenuptial Agreement Template | PDF & Word
The prenuptial agreement, a legal document, is presented with a simple, white background, making it clean and professional. Ideal for a corporate, business-oriented law firm's marketing.
Image
A prenuptial agreement, with a couple's names, is set against a vibrant, abstract background, adding a unique twist. This image can be used for a creative, unconventional law firm's blog post.
Free Prenuptial (Premarital) Agreement Template - PDF | Word - eForms
The prenuptial agreement, a formal document, is presented with a traditional, ornate wax seal, adding a sense of authenticity. Suitable for a historical, classic law firm's promotional material.
FREE 9+ Sample Prenuptial Agreement Templates in PDF | MS Word
A prenuptial agreement, with a couple's initials, is displayed on a rustic, stone background, creating a natural and earthy feel. Ideal for an eco-friendly, sustainable law firm's marketing.
Image
The prenuptial agreement, a legal document, is presented with a simple, black background, making it sleek and modern. Perfect for a tech-savvy, contemporary law firm's website.
30+ Simple Prenuptial Agreement Templates [Prenup Examples]
A prenuptial agreement, with a couple's names, is set against a colorful, vibrant sunset background, adding a touch of romance. This image can be used for a fun, light-hearted law firm's social media post.
30+ Simple Prenuptial Agreement Templates [Prenup Examples]
The prenuptial agreement, a formal document, is presented with a traditional, ornate frame, adding a sense of importance. Suitable for a prestigious, high-end law firm's marketing campaign.
Prenuptial Agreement Sample Form - Edit, Fill, Sign Online | Handypdf
A prenuptial agreement, with a couple's initials, is displayed on a sleek, metallic background, creating a futuristic and modern feel. Perfect for a tech-focused, innovative law firm's promotional material.
Prenuptial Agreement Template - 10+ Free Word, PDF Document Download
The prenuptial agreement, a legal document, is presented with a simple, white background, making it clean and professional. Ideal for a corporate, business-oriented law firm's website.
Prenuptial Agreement Template
A prenuptial agreement, with a couple's names, is set against a dark, mysterious forest background, adding a sense of intrigue. This image can be used for a suspenseful, thriller-themed law firm's marketing.
Prenuptial Agreement Template 📝 | Free Prenup Form
The prenuptial agreement, a formal document, is presented with a vintage, hand-painted illustration, adding a touch of artistry. Suitable for a creative, artistic law firm's promotional material.
30+ Simple Prenuptial Agreement Templates [Prenup Examples]
A prenuptial agreement, with a couple's initials, is displayed on a sleek, glass background, creating a modern and elegant feel. Perfect for a high-end, sophisticated law firm's website.
30+ Simple Prenuptial Agreement Templates [Prenup Examples]
A detailed look at prenuptial agreement sample
.
FREE 9+ Sample Prenuptial Agreement Templates in PDF | MS Word
A detailed look at prenuptial agreement sample
.
Image
A detailed look at prenuptial agreement sample
.
Prenuptial Agreement Template | Free Agreement Templates
A detailed look at prenuptial agreement sample
.
Free Prenuptial Agreement Template - Ablebionics
A detailed look at prenuptial agreement sample
.
FREE 9+ Sample Prenuptial Agreement Templates in PDF | MS Word
A detailed look at prenuptial agreement sample
.
Image
A detailed look at prenuptial agreement sample
.
FREE 9+ Sample Prenuptial Agreement Templates in PDF | MS Word
A detailed look at prenuptial agreement sample
.
Image
A detailed look at prenuptial agreement sample
.
30+ Simple Prenuptial Agreement Templates [Prenup Examples]
A detailed look at prenuptial agreement sample
.
Printable Prenuptial Agreement Template | Mous Syusa
A detailed look at prenuptial agreement sample
.
30+ Prenuptial Agreement Samples & Forms - Template Lab
A detailed look at prenuptial agreement sample
.
Prenuptial Agreement Australia Template
A detailed look at prenuptial agreement sample
.
Uk Prenuptial Agreement Template - Ablebionics
A detailed look at prenuptial agreement sample
.
Make Your New York Prenuptial Agreement With Our Fillable Template
A detailed look at prenuptial agreement sample
.
Prenuptial Agreement Template UK
A detailed look at prenuptial agreement sample
.