The concept of sleepiness after consuming alcohol, often referred to as a hangover, is a common experience for many individuals. This phenomenon is not just a myth but a scientifically recognized effect of alcohol consumption. When alcohol is metabolized by the body, it triggers a series of physiological responses that can lead to feelings of fatigue and drowsiness. Understanding the relationship between alcohol and sleep is crucial, as it can impact overall health and well-being.
One of the primary reasons for the post-drinking slumber is the disruption of the body's natural sleep-wake cycle, also known as the circadian rhythm. Alcohol interferes with this rhythm, causing an initial feeling of drowsiness, followed by a fragmented and less restorative sleep pattern. This can result in insomnia or difficulty falling asleep, leading to the notorious hangover fatigue.
The quality of sleep during and after drinking is significantly compromised. Alcohol consumption can lead to increased sleepiness due to its impact on the brain's neurotransmitters, particularly GABA, which promotes relaxation. While this may cause initial sleepiness, it also leads to more arousals during the night, disrupting the deep, restorative sleep stages. As a result, individuals may wake up feeling exhausted, even if they spent several hours in bed.
Image
A close-up of a person's eyes, half-closed and heavy with sleepiness. The room is filled with a warm, golden glow, and the image conveys a sense of relaxation and the desire to drift off.
Ibuprofen
A man dozes off on a park bench, his head falling to the side, and a slight smile on his face. The scene is peaceful, with a gentle breeze and the sound of birds chirping in the background.
Children's MOTRINยฎ Ibuprofen Liquid Dye-Free Berry Medicine for Fever ...
A woman lies on a cozy couch, her eyes closed, and a content smile on her face. The room is filled with soft, warm lighting, and a sense of calmness and relaxation is evident.
Can You Mix Ibuprofen And Alcohol? Can It Kill You? Risks
A person sits on a park bench, their head resting on their hands, and a look of deep sleep on their face. The cityscape is visible in the background, with a soft, hazy glow.
Are Ibuprofen and Acetaminophen the Same: Key Differences and Usage Guide
A close-up of a person's face, with their eyes half-open and a dreamy expression. The image is soft-focused, and the background is a blurred, colorful cityscape at night.
How Long After Ibuprofen Can I Take Paracetamol (And Why)?
A man lies on a bed, his eyes closed, and a satisfied smile on his face. The room is filled with soft, warm lighting, and the image conveys a sense of comfort and relaxation.
AdventHealth Central Texas
A woman dozes off in a cozy armchair, her head falling to the side, and a slight snore escaping her lips. The room is filled with a warm, inviting atmosphere.
Subjective sleepiness after oral administration of desloratadine ...
A person sits on a park bench, their head resting on their knees, and a look of peaceful sleep on their face. The scene is serene, with a gentle breeze and a clear sky.
Ibuprofen Allergic Reaction Baby at Charles Bolden blog
A close-up of a person's eyes, half-closed and heavy with sleepiness. The image is in black and white, and the room is filled with a soft, diffused light.
How Long After Ibuprofen Can I Take Excedrin (And Why)? - Exactly How Long
A man lies on a park bench, his eyes closed, and a content smile on his face. The scene is peaceful, with a gentle breeze and the sound of leaves rustling.
How To Recover From Sleeping Too Much and After a Long Sleep - HealthToday
A woman dozes off on a cozy bed, her head falling to the side, and a slight smile on her face. The room is filled with soft, warm lighting, and a sense of comfort.
Ibuprofen Effects On The Stomach at Bruce Green blog
A person sits on a park bench, their head resting on their hands, and a look of deep sleep on their face. The cityscape is visible in the background, with a soft, hazy glow.
Why You Get Sleepy After Eating: 10 Surprising Causes
A close-up of a person's face, with their eyes half-open and a dreamy expression. The image is soft-focused, and the background is a blurred, colorful cityscape at night.
What Happens if You Take Ibuprofen With Alcohol? - Illinois Recovery Center
A man lies on a bed, his eyes closed, and a satisfied smile on his face. The room is filled with soft, warm lighting, and the image conveys a sense of comfort and relaxation.
One-Stop Health Station - 5 ๐๐๐๐๐๐ญ๐ข๐ฏ๐ ๐๐ข๐ฉ๐ฌ ๐๐จ ๐๐จ๐ง๐ญ๐ซ๐จ๐ฅ ๐๐ฅ๐๐๐ฉ๐ข๐ง๐๐ฌ๐ฌ ๐๐๐ญ๐๐ซ ...
A woman lies on a cozy couch, her eyes closed, and a content smile on her face. The room is filled with soft, warm lighting, and a sense of calmness and relaxation is evident.
How Long After Ibuprofen Can I Take Paracetamol (And Why)?
A person sits on a park bench, their head resting on their knees, and a look of peaceful sleep on their face. The scene is serene, with a gentle breeze and a clear sky.
Ibuprofen Or Acetaminophen After Vaccine at Harry Quintana blog
A close-up of a person's eyes, half-closed and heavy with sleepiness. The image is in black and white, and the room is filled with a soft, diffused light.
(PDF) Sleepiness, fatigue, anxiety and depression in Chronic ...
A man dozes off in a cozy armchair, his head falling to the side, and a slight snore escaping his lips. The room is filled with a warm, inviting atmosphere.
Ce que vous devez savoir sur l'ibuprofรจne - Fmedic
A woman lies on a bed, her eyes closed, and a satisfied smile on her face. The room is filled with soft, warm lighting, and the image conveys a sense of comfort and relaxation.
Understanding The Benefits And Risks Of Taking Ibuprofen After Wisdom ...
A person sits on a park bench, their head resting on their hands, and a look of deep sleep on their face. The cityscape is visible in the background, with a soft, hazy glow.
Full article: Cubic phase nanoparticles for sustained release of ...
A close-up of a person's face, with their eyes half-open and a dreamy expression. The image is soft-focused, and the background is a blurred, colorful cityscape at night.
Excessive Daytime Sleepiness: Causes, Symptoms, Treatments
A man lies on a bed, his eyes closed, and a content smile on his face. The room is filled with soft, warm lighting, and the image conveys a sense of comfort and relaxation.
After Eating Feel Sleepy? Here's Why and How to Avoid - 27GROUP
A woman dozes off in a cozy armchair, her head falling to the side, and a slight smile on her face. The room is filled with a warm, inviting atmosphere.
Is Falling Asleep After Eating Sugar a Sign of Diabetes? - Sleep and ...
A person sits on a park bench, their head resting on their knees, and a look of peaceful sleep on their face. The scene is serene, with a gentle breeze and a clear sky.
Somnolence (Drowsiness): What It Is, Causes & Treatment
A close-up of a person's eyes, half-closed and heavy with sleepiness. The image is in black and white, and the room is filled with a soft, diffused light.
What Are Circadian Rhythms? The Sleep-Wake Cycle Connection
A man lies on a bed, his eyes closed, and a satisfied smile on his face. The room is filled with soft, warm lighting, and the image conveys a sense of comfort and relaxation.
Acetaminophen Ibuprofen Dosing Chart at Tanya Milford blog
A woman lies on a cozy couch, her eyes closed, and a content smile on her face. The room is filled with soft, warm lighting, and a sense of calmness and relaxation is evident.
Sleepiness After Eating: Causes, Symptoms, and Treatment
A detailed look at sleepines after iboorufen
.
Image
A detailed look at sleepines after iboorufen
.
(PDF) Self-Reported Sleepiness after 2, 4, and 7 Consecutive Night ...
A detailed look at sleepines after iboorufen
.
Why Do I Feel So Tired After A Bath at Anthony Sears blog
A detailed look at sleepines after iboorufen
.
Ibuprofen Pain Relief Medicine to Treat inflammatory โ Mountainside Medical
A detailed look at sleepines after iboorufen
.
Managing sleep and fatigue after brain injury | Headway's expert ...
A detailed look at sleepines after iboorufen
.
Effect of ibuprofen on race performance after 42-km trail running (TR ...
A detailed look at sleepines after iboorufen
.
Children's MOTRINยฎ Ibuprofen Chewable Dye-Free Tablets
A detailed look at sleepines after iboorufen
.
DailyMed - IBUPROFEN suspension
A detailed look at sleepines after iboorufen
.
Arthritis Causes Night Sweats at Thomas Lujan blog
A detailed look at sleepines after iboorufen
.
Full article: Enhancing Slow Oscillations and Increasing N3 Sleep ...
A detailed look at sleepines after iboorufen
.
Floret sleepiness rating in Kalanchoe blossfeldiana 'Cherie' during and ...
A detailed look at sleepines after iboorufen
.
DailyMed - IBUPROFEN tablet
A detailed look at sleepines after iboorufen
.
Walgreens Ibuprofen Expiration Date at David Delarosa blog
A detailed look at sleepines after iboorufen
.
Girl, eight, died of sepsis after being sent home to take ibuprofen and ...
A detailed look at sleepines after iboorufen
.
Obstructive Sleep Apnea Syndrome Management Approach - ppt download
A detailed look at sleepines after iboorufen
.
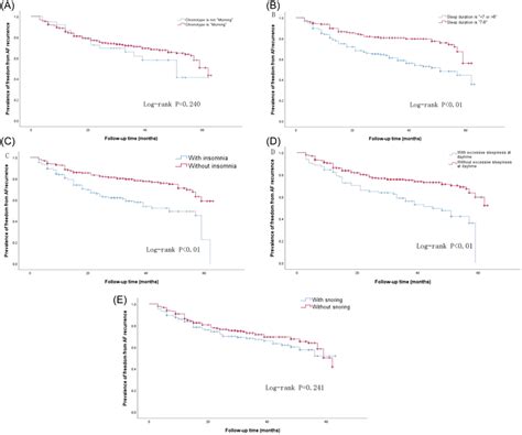
Kaplan-Meier curve comparing the clinical outcomes of different sleep ...
A detailed look at sleepines after iboorufen
.