The expression sqrt 32 simplified refers to the process of simplifying the square root of 32. This mathematical operation involves finding the value of the square root of 32 and then expressing it in its simplest form. Understanding how to simplify square roots is an essential skill in mathematics, as it allows for easier calculations and a clearer understanding of numerical relationships.
The square root of a number is a value that, when multiplied by itself, gives the original number. For example, the square root of 16 is 4 because 4 4 = 16. When dealing with larger numbers, simplifying the square root can be challenging but is often necessary to work with the numbers in a more manageable form.
In the case of sqrt 32, the goal is to find a number that, when multiplied by itself, equals 32. This number is 4√2, as 4 4 √2 = 32. Here, √2 represents the square root of 2, which is an irrational number, approximately equal to 1.414.
Simplifying sqrt 32 to 4√2 provides a more compact and understandable representation of the value. This simplification is particularly useful in mathematical equations and calculations, especially when dealing with fractions or other irrational numbers.
The process of simplifying square roots is a fundamental concept in mathematics, enabling a more efficient and accurate handling of numerical values. It is a valuable skill for students and professionals alike, ensuring clarity and precision in mathematical operations.
How to Simplify the Square Root of 32: Sqrt(32) - YouTube
The square root of 32 is visually represented as a spiral, with the number 32 at its center. The spiral radiates outwards, suggesting a sense of movement and complexity.
Square Root of 32 - GeeksforGeeks
A close-up of a hand holding a chalkboard, with the equation sqrt(32) written in the center. The chalkboard is filled with other mathematical equations, creating a sense of a classroom or study session.
Square Root of 32 | How to Find the Square Root of 32?
A digital display shows the equation sqrt(32) = 5.6569. The numbers are displayed in a sleek, modern font, with a clean background, making it easy to read and understand.
How to Simplify the Square Root of 32 - YouTube
A colorful abstract representation of the square root of 32, with swirling patterns and vibrant hues. The image is artistic and modern, perhaps suitable for a design or art project.
Square Root of 32 - How to Find the Square Root of 32?
A simple, minimalist design of the equation sqrt(32) = 4√2, with the numbers and symbol in a clean, white font. The background is dark, creating a striking contrast.
Image
A mathematical proof or derivation of sqrt(32) is shown, with various steps and equations laid out in a logical sequence. This image is more technical and educational.
Simplify square root of 32 - YouTube
A 3D rendering of a mathematical formula, with sqrt(32) highlighted in a bright color. The formula is set against a dark background, creating a sense of depth and complexity.
What is the square root of 32? | Study.com
A close-up of a calculator displaying the result of sqrt(32), with the answer appearing in a clear and precise font. The calculator's screen is illuminated, creating a bright and focused image.
Use Prime Factorization to Simplify the Square Root of a Number, sqrt ...
A hand-drawn illustration of a square root symbol, with the number 32 inside. The symbol is simplified and stylized, with a playful and educational feel.
Simplifying a Square Root with Variables
A mathematical equation, sqrt(32), is written in a flowing, cursive script. The font is elegant and artistic, with a sense of movement and grace.
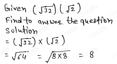
Solved: Simplify: sqrt(32)* sqrt(2) [Math]
A black and white photograph of a chalkboard with the equation sqrt(32) written in a bold, modern font. The chalkboard is slightly tilted, adding a dynamic feel.
Cube Root of 32 | How to Calculate the Cube Root of 32?
A digital art piece featuring a vibrant, abstract representation of the square root of 32. The colors blend and swirl, creating a visually appealing and modern design.
Simplify `: sqrt2 - sqrt(18) + sqrt(27) - sqrt(32)` - YouTube
A mathematical puzzle or brainteaser, with the equation sqrt(32) as the central challenge. The image is designed to be engaging and thought-provoking.
Simplify sqrt(32) + sqrt(18) - YouTube
A simple, flat design of the equation sqrt(32) = 4√2, with a colorful background. The numbers and symbol are in a bold, playful font, making it fun and accessible.
Image
A mathematical proof or derivation, with the equation sqrt(32) as a key part of the explanation. The image is detailed and precise, suitable for educational purposes.
Pls can some one HELP me Simplify the following surds square root 8 ...
A calculator's display shows the square root of 32, with the answer rounded to a few decimal places. The calculator's interface is clean and modern, making it easy to use.
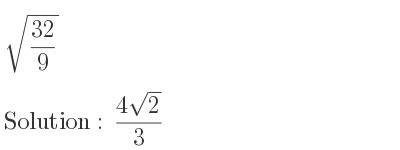
sqrt(32/9)
A hand-drawn, geometric pattern featuring the square root of 32. The pattern is intricate and detailed, with a sense of precision and craftsmanship.
Square root of 32 - YouTube
A mathematical equation, sqrt(32), is written in a vintage, old-fashioned font. The image has a nostalgic feel, perhaps suitable for a historical or educational context.
Simplify sqrt(32) + sqrt(18) - YouTube
A close-up of a finger pointing at the equation sqrt(32) on a chalkboard. The finger is illuminated, creating a dramatic and focused image.
The square root of 32 plus the square root of 18 =? Basic Algebra ...
A digital display shows the equation sqrt(32) = 5.6569, with a focus on the decimal part. The numbers are precise and clear, making it easy to understand.
Simplify the expression: \sqrt[4]{32} \cdot | StudyX
A mathematical formula, with sqrt(32) as a key component, is presented in a scientific or research context. The image is detailed and precise, suitable for academic use.
Simplify: -sqrt (32)-5sqrt (2)+5sqrt (48) square - YouTube
A colorful, abstract representation of the square root of 32, with a focus on the mathematical concept. The image is artistic and modern, perhaps for a design or art project.
Solved Evaluate the square root. √32 √2 √32√√2 = (Simplify | Chegg.com
A simple, minimalist design of the equation sqrt(32) = 4√2, with a dark background. The numbers and symbol are in a bold, modern font, creating a striking contrast.
Image
A mathematical proof or derivation, with the equation sqrt(32) as a key step. The image is detailed and logical, suitable for educational or academic purposes.
sqrt(-32) - sqrt(-18) simplify - YouTube
A calculator's display shows the square root of 32, with the answer appearing in a clear and precise font. The calculator's interface is modern and user-friendly.
Solved: ciect the correct answer. What is this expression in simplified ...
A hand-drawn, stylized representation of the square root of 32, with a focus on the mathematical concept. The image is playful and educational, suitable for children's learning materials.
Simplifying Square Root Expressions - ppt download
A mathematical equation, sqrt(32), is written in a flowing, cursive script, with a focus on the aesthetic appeal. The font is elegant and artistic, creating a sense of grace.
Solved: What is the distance between overleftrightarrow BH and point A ...
A detailed look at sqrt 32 simplified
.
4 Ways to Simplify a Square Root - wikiHow
A detailed look at sqrt 32 simplified
.
Image
A detailed look at sqrt 32 simplified
.
Image
A detailed look at sqrt 32 simplified
.
sqrt(8)+3sqrt(2)+sqrt(32)
A detailed look at sqrt 32 simplified
.
4 Ways to Simplify a Square Root - wikiHow
A detailed look at sqrt 32 simplified
.
Image
A detailed look at sqrt 32 simplified
.
Learn Simplifying Radical Expressions | Caddell Prep Online
A detailed look at sqrt 32 simplified
.
Image
A detailed look at sqrt 32 simplified
.
Cube Root of 32 - How to Find the Cube Root of 32? [Solved]
A detailed look at sqrt 32 simplified
.
Image
A detailed look at sqrt 32 simplified
.
Simplify \( \sqrt[3]{32} \times \sqrt[3]{250} \) - YouTube
A detailed look at sqrt 32 simplified
.
Simplify radical expression: (√32 + √48) / | StudyX
A detailed look at sqrt 32 simplified
.
SOLVED:Multiply and simplify. -6(\sqrt{32}+\sqrt{2})
A detailed look at sqrt 32 simplified
.
Square Root of 32: Value, Methods to Find, Rationality & Examples
A detailed look at sqrt 32 simplified
.
Solved: S_. Simplify the following radical expressions applying the ...
A detailed look at sqrt 32 simplified
.
SOLVED:Multiply and simplify. -6(\sqrt{32}+\sqrt{2})
A detailed look at sqrt 32 simplified
.