Exploring the concept of sqrt 75 simplified can be an intriguing mathematical journey. This expression involves finding the square root of 75 and then simplifying it into its most basic form. It's a process that requires understanding the properties of square roots and how to manipulate them algebraically.
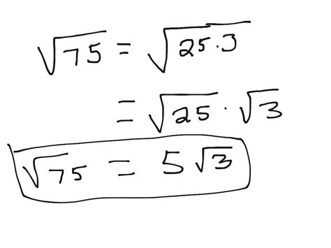
The number 75 can be expressed as a product of its prime factors, which is a crucial step in simplifying the square root. By breaking down 75 into its prime components, we can then apply the rules of square roots to simplify the expression.
One of the key benefits of simplifying square roots is that it allows us to work with numbers in a more manageable form. Simplified square roots often provide insights into the underlying structure of a number, making it easier to perform calculations and understand mathematical relationships.
In the following sections, we will delve into the process of simplifying sqrt 75, exploring the steps involved and the concepts related to square roots, such as prime factorization and radical form.
Simplify square root of 75: sqrt(75) - YouTube
The visual representation of sqrt(75) simplification. A dark background with a bright, yellow equation stands out. The square root symbol is emphasized with a red outline, and the factors 3 and 5 are shown in a separate, smaller text box.
Simplify SQRT(75) - YouTube
Simplifying sqrt(75) into its prime factors. A colorful, abstract background with a gradient of blues and greens. The equation is written in a modern, minimalist font, with the square root symbol in a larger, bolder style.
How to Simplify Surds - mathsathome.com
A close-up of a calculator displaying the result of sqrt(75). The screen shows the simplified form, with the square root symbol and the factors 3 and 5. The background is a soft, grey shade, and the numbers are clear and easy to read.
Square Root of 75 - How to Find the Square Root of 75? - Cuemath
The process of simplifying sqrt(75) is shown through a step-by-step breakdown. Each step is written in a different color, with the final result in a bold, black font. The image has a clean, white background and a modern, minimalist design.
Image
A mathematical proof of sqrt(75) simplification. The equation is written in a formal, serif font, with the square root symbol in a larger size. The factors 3 and 5 are shown in a separate, smaller text box, with a line of reasoning below.
Square root of 75 | Math | ShowMe
A visual representation of the square root of 75 as a number line. The line is divided into segments, with the number 75 marked at the midpoint. The square root symbol is shown as an arrow pointing to the midpoint, with the simplified form written below.
Square Root of 75 | How to Find the Square Root of 75?
A simple, geometric shape representing sqrt(75). The shape is a combination of two triangles, with the square root symbol in the center. The background is a light, grey shade, and the triangles are in a vibrant, blue color.
Solved: Question 7 Simplify、 sqrt(75) [Math]
A digital art piece depicting sqrt(75) as a flowing, abstract shape. The shape is made up of smooth, curved lines, with the square root symbol appearing as a central, glowing point. The background is a dark, starry sky.
📈What is the square root of 75 in simplified form? - Brainly.com
A mathematical puzzle, where sqrt(75) is the key to solving a riddle. The equation is written in a cryptic, coded font, with the factors 3 and 5 hidden in a pattern. The image has a mysterious, dark background.
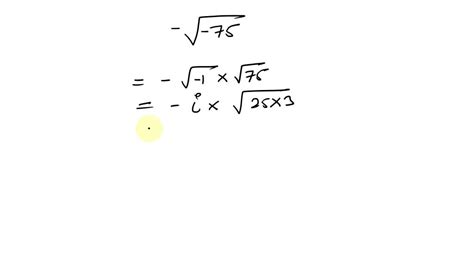
Simplify. \sqrt{-75}
A classroom setting, with a teacher explaining sqrt(75) simplification. The teacher is using a white board, with the equation and its simplified form written in a clear, step-by-step manner. The background is a bright, colorful classroom.
Determine and find the sqrt(75) + sqrt(48) and simplify - YouTube
A mathematical concept explained through a real-world example. The image shows a tree with 75 branches, each with a single leaf. The square root symbol is represented by a central, glowing leaf, with the simplified form written below.
SOLVED:Simplify. \sqrt{-75}
A minimalist, black and white image of the equation sqrt(75). The equation is written in a simple, modern font, with the square root symbol in a larger, bolder style. The background is a pure, white space.
Simplify the following roots. sqrt(75) | CLASS 12 | ROOTS | MATHS ...
A mathematical equation, sqrt(75), is simplified to its most basic form. The image shows a clean, white background with the equation written in bold, black font. The square root symbol is highlighted, and the number 75 is broken down into its prime factors, 3 and 5, squared.
Solved: Simplify sqrt(75)+sqrt(24)-3sqrt(12) 11sqrt(3)+4sqrt(6) 19sqrt ...
A colorful, abstract representation of sqrt(75). The equation is written in a vibrant, neon font, with the square root symbol in a glowing, yellow color. The factors 3 and 5 are shown in a burst of colorful energy.
Square Root of 75: Different Methods to Find Square Root of 75
A mathematical proof, where sqrt(75) is proven to be a certain value. The equation is written in a formal, serif font, with the square root symbol in a larger size. The proof is shown in a step-by-step manner, with each step clearly labeled.
SOLVED:Simplify. \sqrt{-75}
A digital painting of a cityscape, where sqrt(75) is the key to unlocking a hidden treasure. The equation is written in a faded, old font, with the factors 3 and 5 hidden in a pattern on the building's facade. The background is a dark, mysterious city.
Simplify square root of 75 || root 75 || Math Tutorial - Смотреть ...
A mathematical concept explained through a series of equations. The image shows a chain of equations, each leading to the simplified form of sqrt(75). The equations are written in a clear, step-by-step manner, with each step numbered.
How to Compute the Square Root of 75: Sqrt(75) - YouTube
A simple, geometric shape representing sqrt(75). The shape is a combination of two triangles, with the square root symbol in the center. The background is a light, grey shade, and the triangles are in a vibrant, blue color.
75 Squared Simplified - Learn how to rewrite square roots (and ...
A mathematical puzzle, where sqrt(75) is the key to solving a riddle. The equation is written in a cryptic, coded font, with the factors 3 and 5 hidden in a pattern. The image has a mysterious, dark background.
Solved: 9. (a) Express sqrt(75) in its simplest form (b) Arrange the ...
A classroom setting, with a teacher explaining sqrt(75) simplification. The teacher is using a white board, with the equation and its simplified form written in a clear, step-by-step manner. The background is a bright, colorful classroom.
"Simplify Square Roots: (√75 + √25) / (√75 - √25)" - YouTube
A mathematical concept explained through a real-world example. The image shows a tree with 75 branches, each with a single leaf. The square root symbol is represented by a central, glowing leaf, with the simplified form written below.
SOLVED:Simplify. \sqrt{-75}
A minimalist, black and white image of the equation sqrt(75). The equation is written in a simple, modern font, with the square root symbol in a larger, bolder style. The background is a pure, white space.
How to estimate the value of the square root of 75. Sqrt(75) - YouTube
A colorful, abstract representation of sqrt(75). The equation is written in a vibrant, neon font, with the square root symbol in a glowing, yellow color. The factors 3 and 5 are shown in a burst of colorful energy.
Square Root of 75: Different Methods to Find Square Root of 75
A mathematical proof, where sqrt(75) is proven to be a certain value. The equation is written in a formal, serif font, with the square root symbol in a larger size. The proof is shown in a step-by-step manner, with each step clearly labeled.
sqrt(75)/sqrt(15), square root of 75 divided by square root of 15 - YouTube
A digital painting of a cityscape, where sqrt(75) is the key to unlocking a hidden treasure. The equation is written in a faded, old font, with the factors 3 and 5 hidden in a pattern on the building's facade. The background is a dark, mysterious city.
Simplify Radicals of Positive and Negative Numbers: Square Root of 75 ...
A mathematical puzzle, where sqrt(75) is the key to solving a riddle. The equation is written in a cryptic, coded font, with the factors 3 and 5 hidden in a pattern. The image has a mysterious, dark background.
Simplify `sqrt(192)+sqrt(48)/2-sqrt(75)` - YouTube
A classroom setting, with a teacher explaining sqrt(75) simplification. The teacher is using a white board, with the equation and its simplified form written in a clear, step-by-step manner. The background is a bright, colorful classroom.
3 Ways to Multiply Square Roots - wikiHow
A detailed look at sqrt 75 simplified
.
Image
A detailed look at sqrt 75 simplified
.
Solved: Simplify. sqrt(75u^(12)) Assume that the variable u repres [Math]
A detailed look at sqrt 75 simplified
.
Simplify : - sqrt(- 75) A. - 5i sqrt(2) B. - 5i sqrt(3) C. - 5i D. 5i ...
A detailed look at sqrt 75 simplified
.
Solved: In simplest radical form,, sqrt(75) is equivalent to [Math]
A detailed look at sqrt 75 simplified
.
How to simplify square roots (review) (article) | Khan Academy
A detailed look at sqrt 75 simplified
.
Square Root 75 - YouTube
A detailed look at sqrt 75 simplified
.
Question Video: Simplifying Numerical Expressions Using Properties of ...
A detailed look at sqrt 75 simplified
.
Solved: Simplifying Radicals Worksheet 1 Simplify. 1) sqrt(75) 2) sqrt ...
A detailed look at sqrt 75 simplified
.
Calculating the Square Root of 48: How-To & Steps - Lesson | Study.com
A detailed look at sqrt 75 simplified
.
Image
A detailed look at sqrt 75 simplified
.
Solved Simplify square root 63 square root 75x^3y^4 3 | Chegg.com
A detailed look at sqrt 75 simplified
.
Image
A detailed look at sqrt 75 simplified
.
75 Squared In Simplest Radical Form - alittlemisslawyer
A detailed look at sqrt 75 simplified
.
Simplify the following roots. sqrt(75)
A detailed look at sqrt 75 simplified
.
Solved: 3sqrt(3)x=sqrt(75). [algebra]
A detailed look at sqrt 75 simplified
.
Solved: on multiplie sqrt(3)· sqrt(75)= [Math]
A detailed look at sqrt 75 simplified
.