The sqrt of 41 is a mathematical concept that represents the square root of the number 41. It is a fundamental value in mathematics, often denoted as "√41" or "411/2". This value is an irrational number, meaning it cannot be expressed as a simple fraction and has an infinite decimal representation without any repeating pattern.
The concept of square roots is essential in various mathematical fields, including geometry, algebra, and calculus. It is used to find the length of the hypotenuse in right-angled triangles, solve equations, and calculate areas and volumes in geometry. In algebra, it is crucial for simplifying expressions and solving quadratic equations.
The square root of 41 is an interesting number with unique properties. It is an irrational number, which means it cannot be expressed as a ratio of two integers. This property makes it challenging to work with in certain mathematical contexts but also contributes to its beauty and complexity.
One of the key benefits of understanding the sqrt of 41 is its application in geometry. When dealing with right-angled triangles, knowing the square root of 41 allows for precise calculations of side lengths and angles, enabling accurate measurements and constructions.
Image
The number 41 is visually broken down into its square root, 6.4031..., with a simple line graph. This image could be used in educational materials to illustrate the concept of square roots.
Square root of 41 | How to Find Square root of 41
A close-up of a hand holding a chalk, writing the square root of 41 on a blackboard. The focus on the hand adds a human element, suggesting a teacher or student engaged in a learning activity.
Square & Square Root of 41 - Methods, Calculation, Formula, How to find
A digital display shows the square root of 41 as a decimal number, 6.4031... The clean, modern interface could be used in data visualization or educational software.
Square Root of 41: Different Methods to Find Square Root of 41
A colorful abstract representation of the square root of 41, with swirling shapes and vibrant hues. This artistic image could be used to represent mathematical concepts in a creative and engaging way.
Square Root of 441 | How to find
A simple, minimalist design featuring the square root of 41 in a bold, modern font. The clean lines and clear typography make it suitable for educational materials or infographics.
SQUARE ROOT OF 41 - YouTube
A mathematical equation, sqrt(41), is written in elegant, cursive handwriting on a blackboard. The square root symbol stands out against the white background, emphasizing the beauty of mathematical concepts.
Square root of 41 in Hindi | Surendra Khilery - YouTube
A close-up of a calculator displaying the square root of 41, with a soft, warm color palette. The image conveys a sense of precision and technology, suitable for educational or instructional purposes.
How to represent root 41 on number line.locate root 41 on number line ...
A hand-drawn illustration of a square root symbol, with a playful, whimsical style. The image could be used in children's educational materials or as a decorative element in a math-themed design.
Square Root of 841 | How to Find the Square Root of 841?
A digital display shows the square root of 41 as a decimal number, 6.4031... The clean, modern interface could be used in data visualization or educational software.
Square Root: Formulas, Solved Examples, How To Find Square Root
A mathematical equation, sqrt(41), is written in a vintage, old-fashioned font on a blackboard. The nostalgic feel adds a unique twist to the concept, suitable for historical or educational contexts.
Image
A close-up of a ruler measuring a square, with the square root of 41 written next to it. This practical image could be used in geometry or math education to demonstrate the concept of square roots.
Square Root 41 - YouTube
A colorful abstract representation of the square root of 41, with swirling shapes and vibrant hues. This artistic image could be used to represent mathematical concepts in a creative and engaging way.
Solved: Suppose u=(1,-2,3) and v=(2,4,5). Then find d(u,v)= ? A) sqrt ...
A simple, minimalist design featuring the square root of 41 in a bold, modern font. The clean lines and clear typography make it suitable for educational materials or infographics.
Classifying Real Numbers - KATE'S MATH LESSONS
A mathematical equation, sqrt(41), is written in a calligraphic style on a white background. The elegant script adds a touch of sophistication, perfect for high-end educational materials.
Image
A close-up of a hand holding a pen, writing the square root of 41 on a notepad. The human element adds a personal touch, suggesting a study or learning session.
Solved: Question Watch Video Show Examp Given sin A= 4/sqrt(41) and ...
A digital display shows the square root of 41 as a decimal number, 6.4031... The clean, modern interface could be used in data visualization or educational software.
How to Calculate a Square Root by Hand (with Calculator)
A mathematical equation, sqrt(41), is written in a modern, futuristic font on a holographic background. The sci-fi aesthetic could be used in speculative or futuristic educational contexts.
Image
A close-up of a compass drawing a circle, with the square root of 41 written next to it. This geometric image could be used in art or design to explore the relationship between shapes and numbers.
(sqrt(41))/(sqrt(66))
A simple, minimalist design featuring the square root of 41 in a hand-drawn, sketchy style. The informal feel adds a friendly touch, suitable for casual educational materials.
Square Root of Number 41 to 50 - Square Root of 41, 42, 43, 44, 45, 46 ...
A mathematical equation, sqrt(41), is written in a vintage, old-fashioned font on a wooden blackboard. The rustic feel adds a unique twist, perfect for a historical or traditional setting.
Square Root of 41 | How to Find the Value of √41 🧮
A close-up of a calculator displaying the square root of 41, with a soft, cool color palette. The image conveys a sense of precision and technology, suitable for educational or instructional purposes.
Image
A hand-drawn illustration of a square root symbol, with a playful, whimsical style. The image could be used in children's educational materials or as a decorative element in a math-themed design.
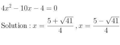
4x^2-10x-4=0
A mathematical equation, sqrt(41), is written in a bold, graffiti-style font on a wall. The urban feel adds a dynamic twist, suitable for modern or contemporary educational contexts.
Square & Square Root of 41 - Methods, Calculation, Formula, How to find
A close-up of a hand holding a chalk, writing the square root of 41 on a blackboard. The focus on the hand adds a human element, suggesting a teacher or student engaged in a learning activity.
Square Root of 41 - Cuemath
A digital display shows the square root of 41 as a decimal number, 6.4031... The clean, modern interface could be used in data visualization or educational software.
Image
A mathematical equation, sqrt(41), is written in a traditional, elegant font on a parchment background. The classic feel adds a touch of sophistication, perfect for a historical or traditional setting.
Square Root of 41 - Cuemath
A close-up of a ruler measuring a square, with the square root of 41 written next to it. This practical image could be used in geometry or math education to demonstrate the concept of square roots.
Image
A simple, minimalist design featuring the square root of 41 in a bold, modern font. The clean lines and clear typography make it suitable for educational materials or infographics.
What is the Square Root of 41.24? Information and Calculator
A mathematical equation, sqrt(41), is written in a cursive, flowing style on a white background. The graceful script adds a touch of elegance, perfect for high-end educational materials.
Square Root of 41 | How to Find the Value of √41 🧮
A detailed look at sqrt of 41
.
Image
A detailed look at sqrt of 41
.
roots - Evaluate $\sqrt{41}$ to $n$ decimal places without using a ...
A detailed look at sqrt of 41
.
find square root of 41 to 50 easy trick /watch now - YouTube
A detailed look at sqrt of 41
.
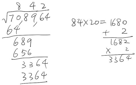
Computational methodFind the square root of 41 with correct 2 decimal pl..
A detailed look at sqrt of 41
.
Square Root of 41 - Cuemath
A detailed look at sqrt of 41
.
Image
A detailed look at sqrt of 41
.
Find the root of 404.41 | Filo
A detailed look at sqrt of 41
.
Square Root of 41 - Cuemath
A detailed look at sqrt of 41
.
Image
A detailed look at sqrt of 41
.
roots - Evaluate $\sqrt{41}$ to $n$ decimal places without using a ...
A detailed look at sqrt of 41
.
Square Root of 41 - Cuemath
A detailed look at sqrt of 41
.
Image
A detailed look at sqrt of 41
.
What Is the Square Root of 41? : Algebra, Geometry & More - YouTube
A detailed look at sqrt of 41
.
Square Root of 41 - Cuemath
A detailed look at sqrt of 41
.