The square root of 18 is a mathematical concept that represents the number which, when multiplied by itself, equals 18. It is a fundamental concept in mathematics, particularly in the study of algebra and geometry. This value is an irrational number, meaning it cannot be expressed as a simple fraction, and its decimal representation goes on infinitely without repeating.
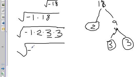
To understand this better, we can break down 18 into its prime factors: 2 3^2. The square root of 18 can then be calculated as the square root of (2 3^2), which simplifies to 3 sqrt(2). This expression shows that the square root of 18 is equal to 3 times the square root of 2.
The key benefit of understanding the square root of 18 is its application in various mathematical and scientific fields. It is used in geometry to find the side length of a square with an area of 18, and in physics to calculate the length of a side of a right triangle with a hypotenuse of 3 times the square root of 2.
Image
A digital display showing the number 18 with a square root symbol floating above it. The background is a gradient of deep blues, creating a futuristic feel. Use: A sci-fi data visualization.
Square Root of 18 - GeeksforGeeks
A simple, minimalist poster with the words 'Square Root of 18' in a bold, modern font. The number 18 is prominently displayed, and the overall design is clean and modern. Use: An educational poster or a modern art piece.
Square Root 1 to 100 - GeeksforGeeks
A mathematical equation on a chalkboard, with the square root of 18 written in elegant, cursive handwriting. The board is slightly tilted, adding a sense of dynamism. Use: A classroom lesson or a creative illustration.
Square Root of 18: Simplified Radical Form - Mathstoon
A close-up of a person's eyes, with the number 18 and a square root symbol projected onto the retina. The eyes are wide open, and the image is surreal. Use: A thought-provoking, abstract representation.
Image
A vintage-style calculator displaying the result of the square root of 18. The calculator is a classic model, with a wooden base and brass buttons. Use: A retro, nostalgic design.
Learn How to Simplify a Square Root in 2 Easy Steps
A mathematical function graph with the square root of 18 highlighted. The graph is colorful and detailed, showing the curve of the function. Use: An educational graph or a data visualization.
Simplify Square Root of 18 || Square Root 18, Sqrt(18) - YouTube
A hand-drawn, abstract representation of the square root of 18. The design is a mix of geometric shapes and organic lines, creating a unique, artistic look. Use: A creative, modern art piece.
Square Root of 18 Written in Its Simplest Radical Form - YouTube
A mathematical puzzle with the square root of 18 as the central challenge. The puzzle pieces are shaped like triangles and squares, and the overall design is intricate. Use: An engaging, educational game.
How to Simplify the Square Root of 18: Sqrt(18) - YouTube
A digital clock displaying the time when the square root of 18 is calculated. The clock is set in a futuristic cityscape, with neon lights and a futuristic font. Use: A sci-fi, urban scene.
Free, Printable Square Root Chart and Sq. Root Cheat Sheet ...
A mathematical equation on a blackboard, with the square root of 18 solved and the answer written in a neat, precise handwriting. Use: A classroom example or a study guide.
Square root of 18 (What is the value of Square Root of 18)
A close-up of a book's page with a handwritten calculation of the square root of 18. The book is an old, leather-bound volume, and the page is yellowed with age. Use: A historical, educational reference.
Square Root: Formulas, Solved Examples, How To Find Square Root
A mathematical formula written in a flowing, artistic style, with the square root of 18 as the central element. The colors are vibrant and the design is fluid. Use: A creative, abstract representation.
Image
A calculator display showing the square root of 18 with a small, animated icon floating above it. The icon is a stylized tree, and the background is a gradient of greens. Use: A fun, eco-friendly design.
How to Find the Square Root of a Number - Maths with Mum
A mathematical proof written in a formal, academic style, with the square root of 18 as a key part of the argument. The text is dense and the layout is precise. Use: An academic paper or a study guide.
Square root of 18 - YouTube
A close-up of a person's face, with a thought bubble containing the square root of 18. The person is deep in thought, and the background is a blur of city lights. Use: A conceptual, emotional representation.
Square Roots Chart 1 20
A mathematical equation on a chalkboard, with the square root of 18 solved and the answer written in a colorful, playful font. Use: A fun, educational activity.
How To Find Out Square Root - Teachfuture6
A digital art piece with the square root of 18 as a central theme. The design is a mix of abstract shapes and digital textures, creating a futuristic, cyberpunk feel. Use: A modern, sci-fi art piece.
Square Root Chart Perfect Squares
A mathematical problem on a blackboard, with the square root of 18 as the challenge. The board is covered in equations, and the overall design is chaotic and complex. Use: A challenging, academic scenario.
Square Roots Chart 1 20
A calculator display showing the square root of 18 with a small, animated icon of a hand pointing to the answer. The icon is in a bright, cheerful color. Use: A friendly, educational tool.
FREE 7+ Sample Square Root Chart Templates in PDF
A mathematical equation on a white board, with the square root of 18 solved and the answer written in a neat, precise handwriting. The board is slightly tilted, adding a sense of dynamism. Use: A classroom lesson or a creative illustration.
Image
A close-up of a person's hand, with a finger pointing to the square root of 18 on a digital display. The background is a dark, futuristic cityscape. Use: A sci-fi, dramatic scene.
Square Roots And Perfect Squares
A mathematical function graph with the square root of 18 highlighted. The graph is in a vintage, retro style, with a wooden background and brass borders. Use: A nostalgic, educational graph.
Square root of 18 | root 18 | sqrt(18) | surds - YouTube
A close-up of a vintage calculator, displaying the square root of 18. The calculator is a classic model, with a wooden base and brass buttons, and the display is flickering. Use: A retro, nostalgic design.
Square Root Chart Printable
A mathematical puzzle with the square root of 18 as the central challenge. The puzzle pieces are shaped like triangles and squares, and the overall design is intricate and colorful. Use: An engaging, educational game.
Square Root Chart Printable
A digital display showing the square root of 18 with a small, animated icon of a light bulb. The icon is in a bright, cheerful color, and the background is a gradient of blues and greens. Use: A fun, educational tool.
Square Roots - Square Root Worksheet and Calculator
A mathematical equation on a chalkboard, with the square root of 18 solved and the answer written in a colorful, playful font. The board is covered in equations, and the overall design is chaotic and fun. Use: A classroom activity or a creative illustration.
FREE 7+ Sample Square Root Chart Templates in PDF
A close-up of a person's eyes, with the number 18 and a square root symbol projected onto the retina. The eyes are closed, and the image is surreal and dreamlike. Use: A thought-provoking, abstract representation.
Image
A mathematical function graph with the square root of 18 highlighted. The graph is in a modern, minimalist style, with a clean, white background and a bold, modern font. Use: An educational graph or a modern art piece.
Square Root 1 to 30 [Download PDF]
A calculator display showing the square root of 18 with a small, animated icon of a hand pointing to the answer. The icon is in a bright, cheerful color, and the background is a gradient of blues and greens. Use: A friendly, educational tool.
What Is A Perfect Square Factor Of 180 at Keith Ramsay blog
A mathematical equation on a blackboard, with the square root of 18 solved and the answer written in a neat, precise handwriting. The board is slightly tilted, adding a sense of dynamism. Use: A classroom lesson or a creative illustration.
Square Root from 1 to 50 - Value of Square Root from 1 to 100 [PDF]
A detailed look at square root 18
.
Square Roots and Radicals 18 - YouTube
A detailed look at square root 18
.
Video for Jessica - Square Root of Negative 18 - YouTube
A detailed look at square root 18
.
Question Video: Simplifying Numerical Expressions Using the Properties ...
A detailed look at square root 18
.
Simplifying Square Root Expressions | Steps & Examples - Lesson | Study.com
A detailed look at square root 18
.
Square Root from 1 to 20 - Value of Square Root from 1 to 20 [PDF]
A detailed look at square root 18
.
Learn How to Simplify a Square Root in 2 Easy Steps
A detailed look at square root 18
.
The square root of 32 plus the square root of 18 =? Basic Algebra ...
A detailed look at square root 18
.
How to Calculate a Square Root by Hand (with Pictures) - wikiHow
A detailed look at square root 18
.
Image
A detailed look at square root 18
.
Square Root 1 to 100 - Easy Maths Solutions
A detailed look at square root 18
.
Square Root of 1800 - How to Find Square Root of 1800? [Solved]
A detailed look at square root 18
.
Image
A detailed look at square root 18
.
4 Ways to Simplify a Square Root - wikiHow
A detailed look at square root 18
.