The square root of 361 is a fundamental mathematical concept with numerous applications in various fields. It is a number that, when multiplied by itself, results in the original number 361. This concept is essential in geometry, algebra, and many other areas of mathematics.
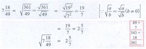
In the realm of pure mathematics, the square root of 361 is an integer, specifically 19. This is because 19 x 19 = 361, making it a perfect square. This property is crucial in various mathematical operations and proofs.
The square root of 361 has a practical application in everyday life, particularly in construction and design. It is the length of the side of a square with an area of 361 square units, which can be useful in creating precise measurements and shapes.
Image
A close-up macro photograph of a single, perfect snowflake, its intricate crystalline structure resembling the number 361 when viewed from above, offering a serene and detailed visual of nature's beauty.
Square Root of 361 - How to Find the Square Root of 361?
A minimalist black and white line art depiction of a right triangle with legs of equal length, forming a 45-degree angle, symbolizing the square root of 361 as the hypotenuse, perfect for educational materials.
Image
An isometric illustration of a 3D cube with each face showing the number 13, emphasizing the square root of 361 as 19, with a modern, clean design suitable for infographics.
Square & Square root of 361 - Methods, Calculation, Formula, How to find
A digital art piece featuring a futuristic cityscape with glowing numbers floating in the air, one of them being 361, with a vibrant, neon color palette, evoking a sense of wonder and technology.
Square root of 361 l Prime factorization method - YouTube
A mathematical equation written in elegant calligraphy, with the square root of 361 calculated and displayed in a stylish font, perfect for a stylish educational poster or book cover.
Square & Square root of 361 - Methods, Calculation, Formula, How to find
A hand-drawn, whimsical illustration of a tree with 19 branches, each bearing a leaf with the number 19, representing the square root of 361, in a playful and educational manner.
find the square root of 361 √361 | @Maths8-| #Maths 8 - YouTube
A mathematical puzzle game where players must find the square root of 361 by sliding tiles with numbers, offering an engaging and interactive way to learn about square roots.
What is the Square Root of 361? Information and Calculator
A 3D model of a spiral staircase, each step labeled with the number 19, leading up to a glowing '361' at the top, creating a visual representation of the square root concept.
What is the Square Root of -361? Information and Calculator
A vibrant, colorful mandala design with intricate patterns, one of the circles representing the square root of 361, using geometric shapes and a calming color palette.
What Is the Positive Square Root of 361 - ElliottkruwGibson
A scientific calculator displaying the result of 19.0, with a close-up view of the screen, showcasing the precise calculation of the square root of 361, ideal for a tech-themed image.
class 8th, square root of 361/441, long division method - YouTube
A black and white photograph of a vintage typewriter, with the number 361 carefully typed, offering a nostalgic and educational glimpse into historical mathematical practices.
Square Root of 361 - YouTube
A digital painting of a futuristic city with a giant, glowing '√361' sign, blending architecture and mathematics, perfect for a futuristic educational campaign.
SQUARE ROOT OF 361 - YouTube
A mathematical equation written on a chalkboard, with the square root of 361 solved and explained step-by-step, providing a clear and educational visual for classrooms.
Is 196 a Perfect Square? - GeeksforGeeks
A 3D printed model of a cube with each face showing the number 19, a tangible representation of the square root of 361, great for interactive learning.
Square root of 361 - YouTube
A minimalist poster with a bold, central '√361' in a modern font, surrounded by a grid of numbers, creating an abstract and stylish visual for mathematical concepts.
What is the square root of 361? - Steps | CK-12 Foundation
A close-up of a person's hand holding a small, glowing crystal, its facets reflecting the number 361, a unique and mystical take on mathematical representation.
Square Root of 361 by Prime Factorization & Long Division Method
A mathematical equation written in ancient script on a stone tablet, with the square root of 361 calculated, offering a historical and educational twist to the concept.
Square Root of 361 by Prime Factorisation method 2√361 - YouTube
A vibrant, abstract digital art piece with a kaleidoscope of colors, one of the patterns resembling the number 361, creating a mesmerizing and artistic visual.
Square of 361 - What is 361 Squared? Information and Calculator
A mathematical puzzle book with a cover featuring a complex, colorful pattern, revealing the square root of 361 as a hidden number within the design.
Solution of 361 by division method - Brainly.in
A 3D animation of a cube transforming into a spiral, with numbers appearing and disappearing, eventually landing on 19, a dynamic and engaging visual for square roots.
Find Square Root by Prime Factorization Method in Urdu, Square Root of ...
A mathematical equation written on a blackboard, with a spotlight focusing on the square root of 361, creating a dramatic and educational scene.
Square Root of 361 :A Milestone Celebration Design | 19th Birthday | 19 ...
A close-up of a vintage slide rule, with the number 361 calculated and marked, offering a nostalgic and educational glimpse into early mathematical tools.
Square Root of 361 | How to Find the Value of √361 🧮
A digital collage of mathematical symbols and shapes, with the square root of 361 prominently displayed, creating a modern and abstract visual for educational purposes.
Image
A mathematical equation written in a flowing, artistic script, with the result of 19, offering a beautiful and elegant take on the concept.
Square Root of 361 19th Birthday 19 Years Old Math Funny T-Shirt ...
A 3D model of a spiral staircase, each step labeled with the number 19, leading to a glowing '361' at the top, a unique and interactive representation.
Math 19th Anniversary Gift Married Square Root Of 361 Years print ...
A mathematical puzzle game where players must find the square root of 361 by sliding tiles, with a vibrant, colorful background, offering an engaging and educational experience.
Image
A scientific calculator displaying the result of 19.0, with a close-up view of the screen, showcasing the precise calculation, ideal for a tech-themed image.
Square Root 361 - YouTube
A black and white photograph of a vintage typewriter, with the number 361 carefully typed, offering a nostalgic and educational glimpse into historical practices.
How to Find the Square Root of a Number - Maths with Mum
A digital painting of a futuristic city with a giant, glowing '√361' sign, blending architecture and mathematics, perfect for a futuristic educational campaign.
How to find the square root of 361? - GeeksforGeeks
A mathematical equation written on a chalkboard, with the square root of 361 solved and explained, providing a clear and educational visual for classrooms.
Identify Square Roots Of Perfect Square
A detailed look at square root of 361
.
Perfect Square Roots Poster/Anchor Chart/ Student Resource | TPT
A detailed look at square root of 361
.
Square Root Chart Perfect Squares
A detailed look at square root of 361
.
Square Roots of Perfect Squares Worksheet
A detailed look at square root of 361
.
Solved: Use the given numbers to complete the table to show the ...
A detailed look at square root of 361
.
Square Roots And Perfect Squares
A detailed look at square root of 361
.
List of Perfect Squares - IzaiahtinChristian
A detailed look at square root of 361
.
PPT - Simplifying Square Roots PowerPoint Presentation, free download ...
A detailed look at square root of 361
.
Image
A detailed look at square root of 361
.
The chart is designed for students in Grades 6, 7 and 8. From 1 - 10000 ...
A detailed look at square root of 361
.
Perfect Squares Chart [Free PDF Printable]
A detailed look at square root of 361
.
Exercise 1.4 (Square Root) - Questions with Answers, Solution | Numbers ...
A detailed look at square root of 361
.
Image
A detailed look at square root of 361
.
Square Root Of 361 19th Birthday 19 Year Old Math Bday Digital Art by ...
A detailed look at square root of 361
.